Última actualización :
18/03/2026
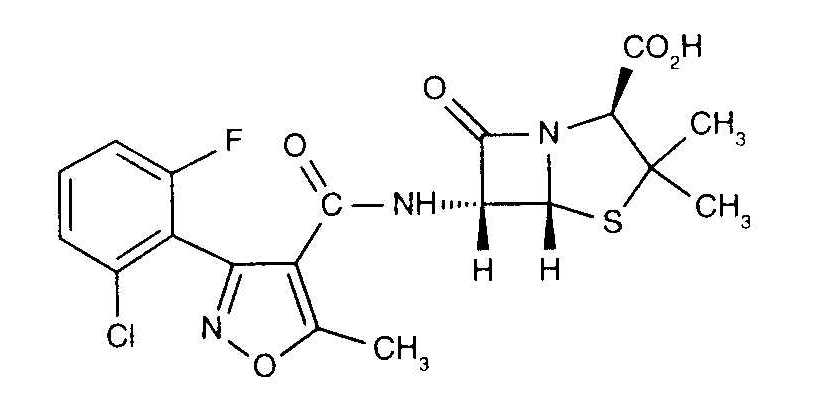
Antibiótico   Flucloxacillin sodium  
Inyectables
Estabilidad en solucion Estabilidad en mezcla Factores que influyen sobre la estabilidad Compatibilidades método de inyección Bibliografía pdf
   Estructura química  

Nombre comercial   Nombre comercial     

Los nombres comerciales son orientativos y los excipientes de la formulación pueden ser distintos dependiendo del país y del laboratorio fabricante.

Astaph Marruecos
Betabiotic Italia
DBL flucloxacillin sodium Australia
Flix Turquía
Floxam Marruecos
Floxapen Arabia Saudita, Austria, Bélgica, Estados Unidos de América, Italia, Marruecos, Países Bajos, Polonia, Portugal, Suiza
Flucloxacillin Alemania, Australia, Gran Bretaña, Italia
Flucloxacilline Bélgica, Francia, Países Bajos
Flucloxin Nueva Zelanda
Ladropen Estados Unidos de América
Stafoxil Países Bajos
Staphylex Alemania

Factores que influyen sobre la estabilidad   Inyectables   Factores que influyen sobre la estabilidad : Flucloxacillin sodium        
Bibliografía
Solvente Nutrición parenteral (con lípidos) Provoque Degradación 3522
Solvente Nutrición parenteral (libre de lípidos) Provoque Degradación 3522
Temperatura 37°C Provoque Degradación 3189
pH pH = 6.5 Provoque Aumento de la estabilidad 3189

  Mentions Légales