Останнє оновлення :
18/03/2026
Антибіотик   Flucloxacillin sodium  
ін'єкція
Стійкість в розчинах Стійкість сумішей Фактори, що впливають на стабільність Сумісність Шлях введення Список літератури pdf
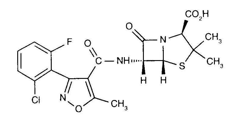
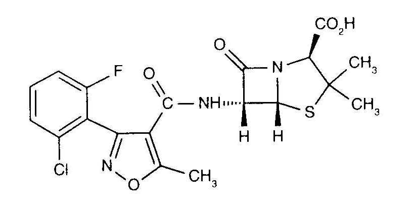
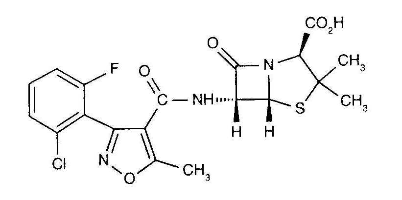
   Хімічна структура  

Торгова назва   Торгова назва     

Торгові назви є орієнтовними, а склад допоміжних речовин може бути різним залежно від країни та виробника

Astaph Марокко
Betabiotic Італія
DBL flucloxacillin sodium Австралія
Flix Туреччина
Floxam Марокко
Floxapen Італія, Австрія, Бельгія, Марокко, Нідерланди, Польща, Португалія, Саудівська Аравія, Сполучені Штати Америки, Швейцарія
Flucloxacillin Італія, Австралія, Великобританія, Німеччина
Flucloxacilline Бельгія, Нідерланди, Франція
Flucloxin Нова Зеландія
Ladropen Сполучені Штати Америки
Stafoxil Нідерланди
Staphylex Німеччина

Фактори, що впливають на стабільність   ін'єкція   Фактори, що впливають на стабільність : Flucloxacillin sodium        
Список літератури
Розчинник Парентеральне харчування (ліпідами) Спонукає хімічна деградація 3522
Розчинник Парентеральне харчування (бінарна суміш) Спонукає хімічна деградація 3522
температура 37°C Спонукає хімічна деградація 3189
pH pH = 6.5 Спонукає Покращена стабільність 3189

  Mentions Légales