Zadnji put ažurirano :
17/12/2025
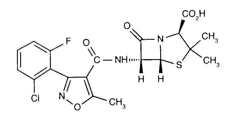
antibiotik   Flucloxacillin sodium  
injekcija
Stabilizacija rješenja Stabilnost mješavine Stabilizacijski faktor Kompatibilnosti način davanja lijeka Bibliografija pdf
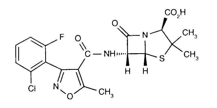
   Kemijska struktura  

Nekomercijalni   Nekomercijalni     

Zaštićeni nazivi su indikativni i sastav ekscipijensa može biti različit ovisno o državi i laboratorijima

Astaph Maroko
Betabiotic Italija
DBL flucloxacillin sodium Australija
Flix Turska
Floxam Maroko
Floxapen Austrija, Belgija, Italija, Maroko, Nizozemska, Poljska, Portugal, S A D, Saudijska Arabija, Švicarska
Flucloxacillin Australija, Italija, Njemačka, Velika Britanija
Flucloxacilline Belgija, Francuska, Nizozemska
Flucloxin novi Zeland
Ladropen S A D
Stafoxil Nizozemska
Staphylex Njemačka

Stabilizacijski faktor   injekcija   Stabilizacijski faktor : Flucloxacillin sodium        
Bibliografija
sredstvo za rastapanje Parenteralna prehrana (lipidima) izaziva Degradacija 3522
sredstvo za rastapanje Parenteralna prehrana (bezlipidna) izaziva Degradacija 3522
temperatura 37°C izaziva Degradacija 3189
pH pH = 6.5 izaziva Pojačana stabilnost 3189

  Mentions Légales