Τελευταία ενημέρωση :
18/03/2026
Αντιβιοτικό   Flucloxacillin sodium  
Ενέσιμο
Σταθερότητα διαλυμάτων Σταθερότητα σε μίγματα Παράγοντας που επηρεάζει τη σταθερότητα Συμβατότητες Τρόπος χορήγησης Βιβλιογραφία pdf
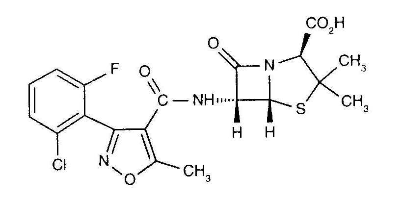
   χημική δομή  

Εμπορική ονομασία   Εμπορική ονομασία     

Οι εμπορικές ονομασίες είναι ενδεικτικές και η σύνθεση των εκδόχων μπορεί να διαφέρει ανάλογα με τη χώρα και τα εργαστήρια

Astaph Μαρόκο
Betabiotic Ιταλία
DBL flucloxacillin sodium Αυστραλία
Flix Τουρκία
Floxam Μαρόκο
Floxapen Αυστρία, Βέλγιο, Ελβετία, Η.Π.Α., Ιταλία, Μαρόκο, Ολλανδία, Πολωνία, Πορτογαλία, Σαουδική Αραβία
Flucloxacillin Αυστραλία, Γερμανία, Ιταλία, Μεγάλη Βρετανία
Flucloxacilline Βέλγιο, Γαλλία, Ολλανδία
Flucloxin νέα Ζηλανδία
Ladropen Η.Π.Α.
Stafoxil Ολλανδία
Staphylex Γερμανία

Παράγοντας που επηρεάζει τη σταθερότητα   Ενέσιμο   Παράγοντας που επηρεάζει τη σταθερότητα : Flucloxacillin sodium        
Βιβλιογραφία
Διαλυτικό Παρεντερική διατροφή (με λιπίδια) Προκαλεί Αποδόμηση 3522
Διαλυτικό Παρεντερική  θρέψη (ελεύθερο λιπιδίων) Προκαλεί Αποδόμηση 3522
Θερμοκρασία 37°C Προκαλεί Αποδόμηση 3189
pH pH = 6.5 Προκαλεί Ενισχυμένη σταθερότητα 3189

  Mentions Légales