Seneste opdatering :
18/03/2026
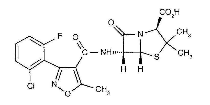
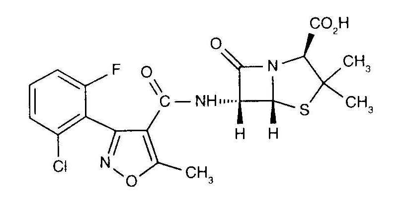
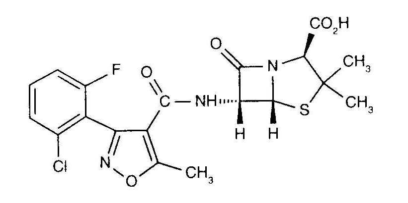
Antibiotisk   Flucloxacillin sodium  
Injektion
Stabilitet i (vandige) opløsninger Stabilitet i blandinger Faktorer der påvirker stabiliteten Kompatibilitet Administrationsvej Bibliografi pdf
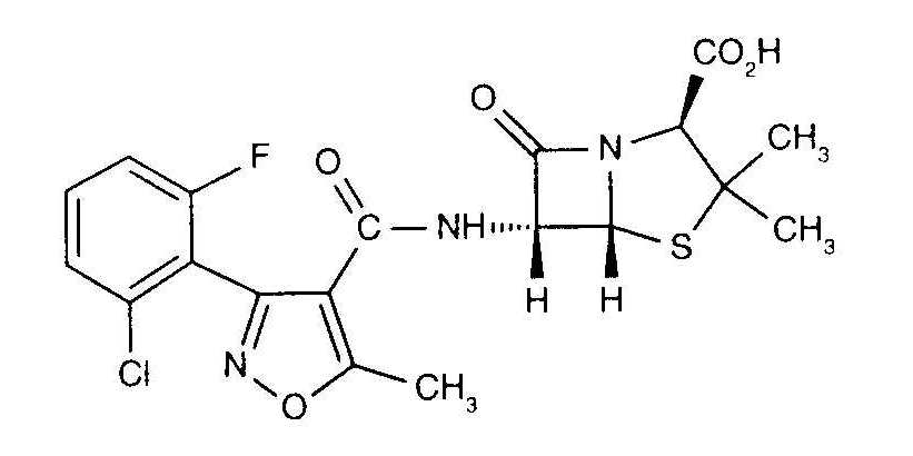
   Kemisk struktur  

Handelsnavn   Handelsnavn     

Handel navne er vejledende og hjælpestoffer sammensætning kan være forskellig afhængigt af landet og laboratorier

Astaph Marokko
Betabiotic Italien
DBL flucloxacillin sodium Australien
Flix Tyrkiet
Floxam Marokko
Floxapen Belgien, Holland, Italien, Marokko, Polen, Portugal, Saudi-Arabien, Schweiz, USA, Østrig
Flucloxacillin Australien, Italien, Storbritanien, Tyskland
Flucloxacilline Belgien, Frankrig, Holland
Flucloxin New Zealand
Ladropen USA
Stafoxil Holland
Staphylex Tyskland

Faktorer der påvirker stabiliteten   Injektion   Faktorer der påvirker stabiliteten : Flucloxacillin sodium        
Bibliografi
Opløsningsmiddel Parenteral ernæring (lipider) Fremkalde Nedbrydning 3522
Opløsningsmiddel Parenteral ernæring (lipid-fri) Fremkalde Nedbrydning 3522
Temperatur 37°C Fremkalde Nedbrydning 3189
pH pH = 6.5 Fremkalde Øget stabilitet 3189

  Mentions Légales