最新更新 :
18/03/2026
抗菌薬   Flucloxacillin sodium  
注射薬
溶媒内の安定性 混合時の安定性 安定性に影響する因子 互換性 投与経路 引用文献 PDF
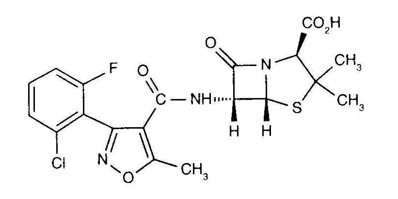
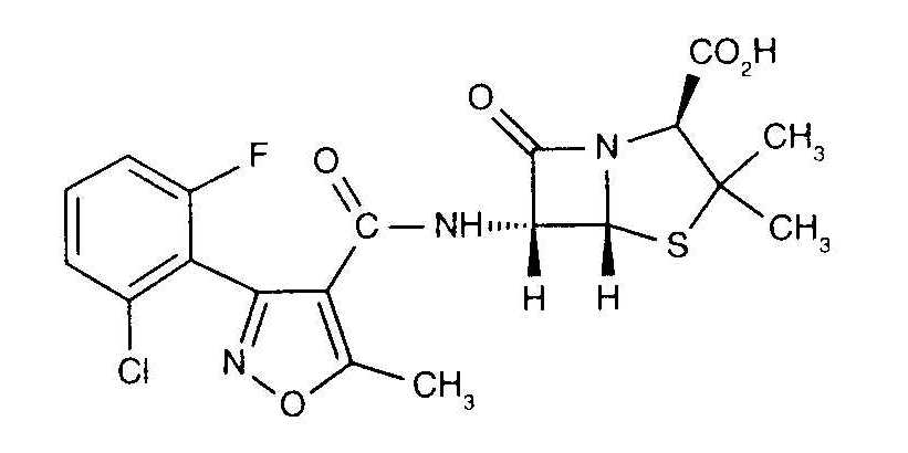
   化学構造  

商品名   商品名     

商品名、賦形剤は国、製薬会社ごとに異なることがあります

Astaph モロッコ
Betabiotic イタリア
DBL flucloxacillin sodium アーストラリア
Flix トルコ
Floxam モロッコ
Floxapen アメリカ, イタリア, オランダ, オーストリア, サウジアラビア, スイス, ベルギー, ポルトガル, ポーランド, モロッコ
Flucloxacillin アーストラリア, イギリス, イタリア, ドイツ
Flucloxacilline オランダ, フランス, ベルギー
Flucloxin ニュージーランド
Ladropen アメリカ
Stafoxil オランダ
Staphylex ドイツ

安定性に影響する因子   注射薬   安定性に影響する因子 : Flucloxacillin sodium        
引用文献
溶媒 非経口的栄養(脂肪含む) 誘導 分解 3522
溶媒 非経口的栄養(二元混合物) 誘導 分解 3522
温度 37°C 誘導 分解 3189
pH pH = 6.5 誘導 安定性促進 3189

  Mentions Légales