Ultimele actualizari :
18/03/2026
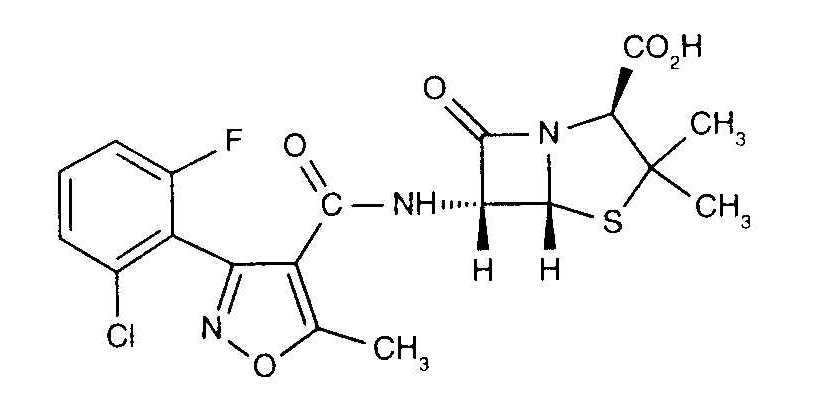
Antibiotic   Flucloxacillin sodium  
Injectabil
Stabilitatea in solutie Stabilitatea in amestec Factorii care influenteaza stabilitatea Compatibilitate Microunde Bibliografie pdf
   Formula chimica  

Denumirea comerciala   Denumirea comerciala     

Trade names are indicative and excipients composition can be different depending on the country and manufacturers

Astaph Maroc
Betabiotic Italia
DBL flucloxacillin sodium Australia
Flix Turcia
Floxam Maroc
Floxapen Arabia Saudita, Austria, Belgia, Elvetia, Italia, Maroc, Olanda, Polonia, Portugalia, SUA
Flucloxacillin Australia, Germania, Italia, Marea Britanie
Flucloxacilline Belgia, Franta, Olanda
Flucloxin noua Zeelandă
Ladropen SUA
Stafoxil Olanda
Staphylex Germania

Factorii care influenteaza stabilitatea   Injectabil   Factorii care influenteaza stabilitatea : Flucloxacillin sodium        
Bibiografie
Solvent Nutriție parenterală (cu lipide) Provoaca Degradare 3522
Solvent Nutritie parenterala (amestec binar) Provoaca Degradare 3522
Temperatura 37°C Provoaca Degradare 3189
pH pH = 6.5 Provoaca Cresterea stabilitatii 3189

  Mentions Légales