Ultimo aggiornamento :
18/03/2026
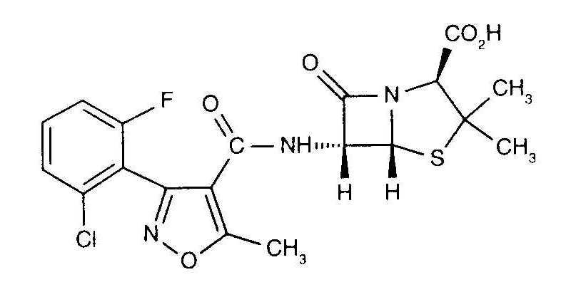
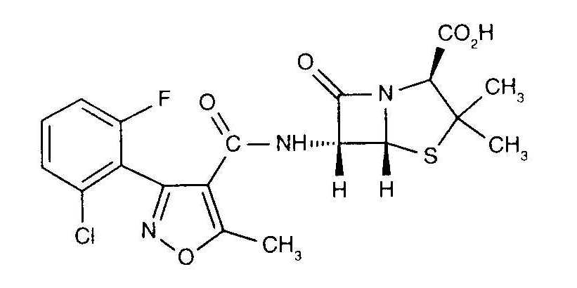
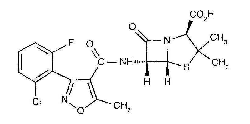
Antibiotico   Flucloxacillin sodium  
Iniezione
Stabilità in soluzione Stabilità in miscela Fattori che influenzano la stabilità Compatibilità metodo di iniezione Bibliografia pdf
   Struttura chimica  

Nome commerciale   Nome commerciale     

Trade names are indicative and excipients composition can be different depending on the country and manufacturers

Astaph Marocco
Betabiotic Italia
DBL flucloxacillin sodium Australia
Flix Turchia
Floxam Marocco
Floxapen Arabia Saudita, Austria, Belgio, Italia, Marocco, Paesi Bassi, Polonia, Portogallo, Stati Uniti d’America, Svizzera
Flucloxacillin Australia, Germania, Gran Bretagna, Italia
Flucloxacilline Belgio, Francia, Paesi Bassi
Flucloxin nuova Zelanda
Ladropen Stati Uniti d’America
Stafoxil Paesi Bassi
Staphylex Germania

Fattori che influenzano la stabilità   Iniezione   Fattori che influenzano la stabilità : Flucloxacillin sodium        
Bibliografia
Solvente Nutrizione parenterale (con lipidi) Provoca Degradazione 3522
Solvente Nutrizione parenterale (privo di lipidi) Provoca Degradazione 3522
Temperatura 37°C Provoca Degradazione 3189
pH pH = 6.5 Provoca Aumento della stabilità 3189

  Mentions Légales