Posledná aktualizácia :
18/03/2026
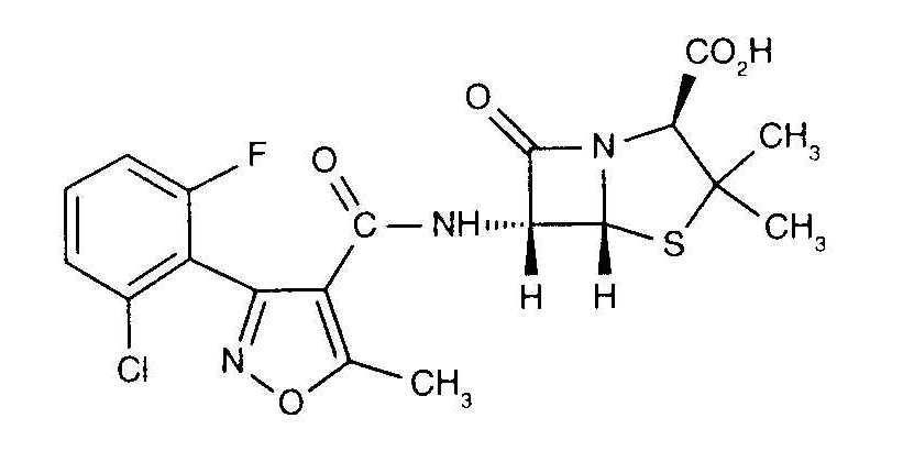
antibiotikum   Flucloxacillin sodium  
Injekcia
Stabilita roztokov Stabilita v zmesiach Faktory ovplyvňujúce stabilitu Kompatibility spôsob podania Odkazy na literatúru PDF
   Chemický vzorec  

Obchodný názov   Obchodný názov     

Obchodné názvy sú orientačné, a zloženie pomocných látok sa môže líšiť v závislosti od krajiny a výrobcu.

Astaph Maroko
Betabiotic Taliansko
DBL flucloxacillin sodium Austrália
Flix Turecko
Floxam Maroko
Floxapen Belgicko, Holandsko, Maroko, Poľsko, Portugalsko, Rakúsko, Saudská Arábia, Spojené štáty Americké, Švajčiarsko, Taliansko
Flucloxacillin Austrália, Nemecko, Taliansko, Veľká Británia
Flucloxacilline Belgicko, Francúzsko, Holandsko
Flucloxin nový Zéland
Ladropen Spojené štáty Americké
Stafoxil Holandsko
Staphylex Nemecko

Faktory ovplyvňujúce stabilitu   Injekcia   Faktory ovplyvňujúce stabilitu : Flucloxacillin sodium        
odkazy na lieteratúru
rozpúšťadlo Parenterálna výživa (lipidy) indukuje degradácia 3522
rozpúšťadlo parenterálna výživa (binárna zmes) indukuje degradácia 3522
teplota 37°C indukuje degradácia 3189
pH pH = 6,5 indukuje zlepšená stabilita 3189

  Mentions Légales