Utolsó frissítés :
18/03/2026
Antibiotikum   Flucloxacillin sodium  
Injekció
Az oldatok stabilitása A keverékek stabilitása Stabilitást befolyásoló tényezők Kompatibilitás Az alkalmazás módja Irodalom pdf
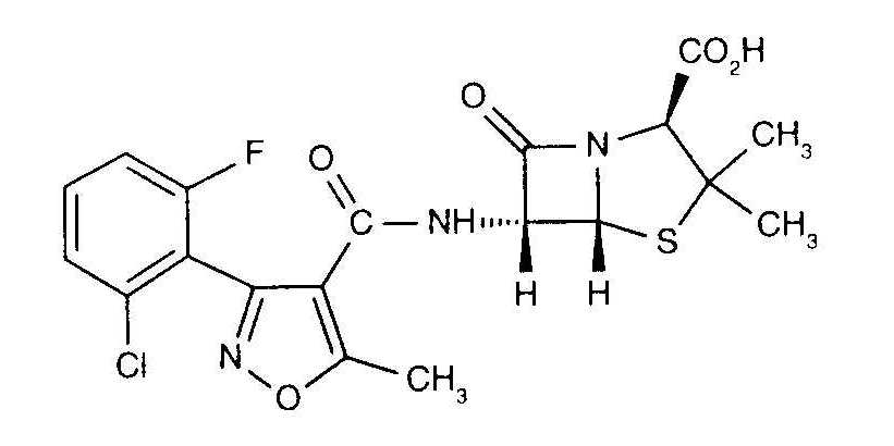
   Kémiai szerkezet   

Kereskedelmi név   Kereskedelmi név     

A kereskedelmi név meghatározó jelentőségű: a készítmények összetétele országonként, előállítóként eltérő lehet

Astaph Marokkó
Betabiotic Olaszország
DBL flucloxacillin sodium Ausztrália
Flix Törökország
Floxam Marokkó
Floxapen Amerikai Egyesült Államok, Ausztria, Belgium, Hollandia, Lengyelország, Marokkó, Olaszország, Portugália, Svájc, Szaúd-Arábiában
Flucloxacillin Ausztrália, Nagy-Britannia, Németország, Olaszország
Flucloxacilline Belgium, Franciaország, Hollandia
Flucloxin új-Zéland
Ladropen Amerikai Egyesült Államok
Stafoxil Hollandia
Staphylex Németország

Stabilitást befolyásoló tényezők   Injekció   Stabilitást befolyásoló tényezők : Flucloxacillin sodium        
Irodalom
Oldószer Parenterális táplálás (lipid) Előidéz Lebomlás 3522
Oldószer Parenterális táplálás (lipid-mentes) Előidéz Lebomlás 3522
Hőmérséklet 37°C Előidéz Lebomlás 3189
pH pH = 6.5 Előidéz Stabilitás  növekedés 3189

  Mentions Légales