Cập nhật lần cuối :
27/11/2025
Kháng sinh   Minocycline hydrochloride  
Dạng tiêm
Dung dịch uống
Tính ổn định của các dung dịch Độ ổn định khi trộn lẫn Những yếu tố ảnh hưởng đến độ ổn định Khả năng tương thích Đường dùng Tài liệu tham khảo Pdf
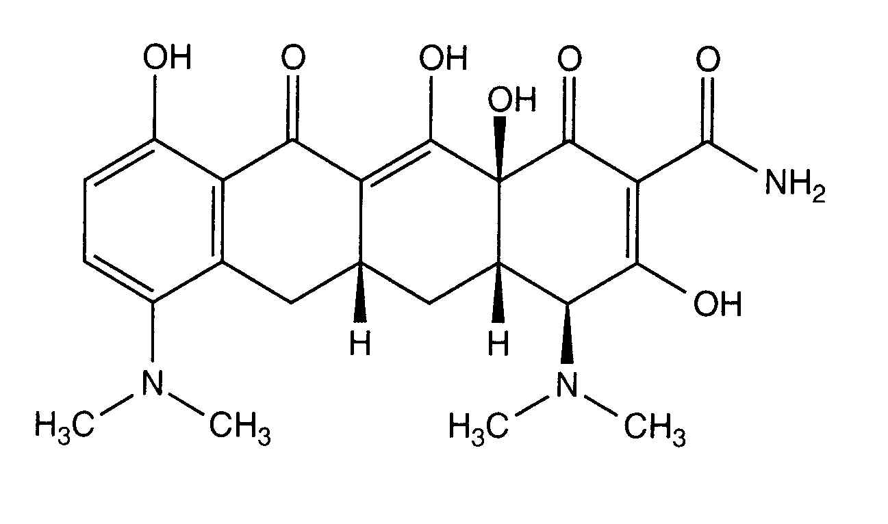
   Cấu trúc hóa học  

Tên thương mại   Tên thương mại     

Các tên thương mại được cung cấp và thành phần tá dược có thể khác nhau giữa các quốc gia và các hãng dược

Minocin Hoa Kỳ
Độ ổn định khi trộn lẫn   Dạng tiêm   Độ ổn định khi trộn lẫn : Minocycline hydrochloride     
Bao bì Dung môi Nồng độ Phân tử Nhiệt độ Bảo quản Thời gian ổn định Mục lục
Nhựa polyvinyl chloride NaCl 0,9% 0,1 mg/ml
Dạng tiêm   Minocycline hydrochloride   
Dạng tiêm   Rifampicin 0,1 mg/ml
24°C
8 Giờ
Không rõ 263
Cấp độ bằng chứng B+
Nhựa polyvinyl chloride NaCl 0,9% 0,1 mg/ml
Dạng tiêm   Minocycline hydrochloride   
Dạng tiêm   Rifampicin 0,1 mg/ml
4°C
72 Giờ
Tránh ánh sáng 263
Cấp độ bằng chứng B+

  Mentions Légales