Τελευταία ενημέρωση :
27/11/2025
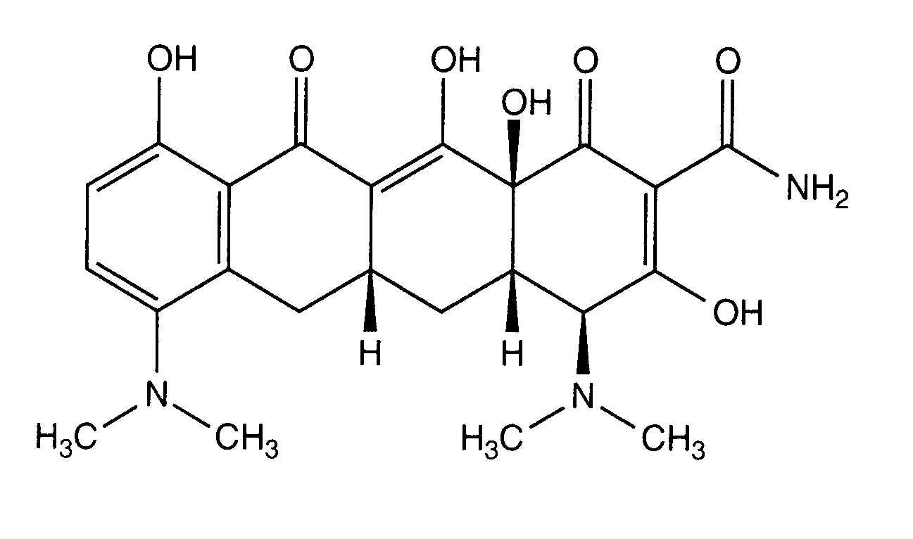
Αντιβιοτικό   Minocycline hydrochloride  
Ενέσιμο
Πόσιμο διάλυμα
Σταθερότητα διαλυμάτων Σταθερότητα σε μίγματα Παράγοντας που επηρεάζει τη σταθερότητα Συμβατότητες Τρόπος χορήγησης Βιβλιογραφία pdf
   χημική δομή  

Εμπορική ονομασία   Εμπορική ονομασία     

Οι εμπορικές ονομασίες είναι ενδεικτικές και η σύνθεση των εκδόχων μπορεί να διαφέρει ανάλογα με τη χώρα και τα εργαστήρια

Minocin Η.Π.Α.
Σταθερότητα σε μίγματα   Ενέσιμο   Σταθερότητα σε μίγματα : Minocycline hydrochloride     
Υποδοχέας Διαλυτικό Συγκέντρωση Συστατικό Θερμοκρασία Αποθήκευση Διάρκεια σταθερότητας Βιβλιογραφία
Πολυβινυλοχλωρίδιο Χλωριούχο νάτριο 0,9% 0,1 mg/ml
Ενέσιμο   Minocycline hydrochloride   
Ενέσιμο   Rifampicin 0,1 mg/ml
24°C
8 Ώρα
Απροσδιόριστο 263
Επίπεδο των αποδεικτικών στοιχείων B+
Πολυβινυλοχλωρίδιο Χλωριούχο νάτριο 0,9% 0,1 mg/ml
Ενέσιμο   Minocycline hydrochloride   
Ενέσιμο   Rifampicin 0,1 mg/ml
4°C
72 Ώρα
Προστατεύετε από το φως 263
Επίπεδο των αποδεικτικών στοιχείων B+

  Mentions Légales