Последно актуализиране :
27/11/2025
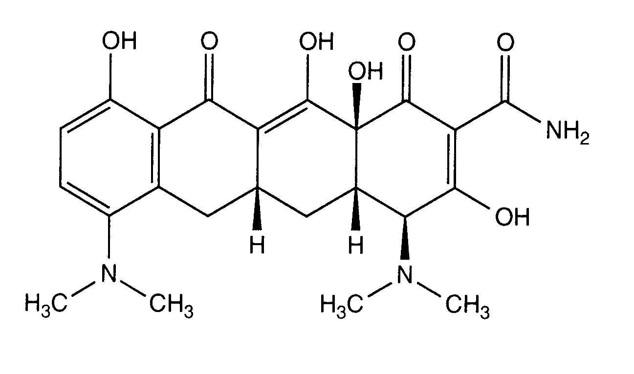
Антибиотик   Minocycline hydrochloride  
Инжекция/Инжекционен
Орален разтвор
Стабилност на разтвори Стабилност на смеси Фактори, повлияващи стабилността Съвместимост Път на въвеждане Библиография Pdf
   Химична структура  

Търговско наименование   Търговско наименование     

Търговските имена са примерни и съставът на помощните вещества може да бъде различен в зависимост от държавата и лабораториите

Minocin Съединени Американски щати / САЩ
Стабилност на смеси   Инжекция/Инжекционен   Стабилност на смеси : Minocycline hydrochloride     
Контейнер Разтворител Концентрация Състав / молекула Температура Съхранение Продължителност на стабилността Библиография
Поливинил хлорид Sodium chloride 0,9% 0,1 mg/ml
Инжекция/Инжекционен   Minocycline hydrochloride   
Инжекция/Инжекционен   Rifampicin 0,1 mg/ml
24°C
8 Час
Не е уточнено 263
Степен на доказаност B+
Поливинил хлорид Sodium chloride 0,9% 0,1 mg/ml
Инжекция/Инжекционен   Minocycline hydrochloride   
Инжекция/Инжекционен   Rifampicin 0,1 mg/ml
4°C
72 Час
Защита от светлина 263
Степен на доказаност B+

  Mentions Légales