最新更新 :
27/11/2025
抗菌薬   Minocycline hydrochloride  
注射薬
経口液
溶媒内の安定性 混合時の安定性 安定性に影響する因子 互換性 投与経路 引用文献 PDF
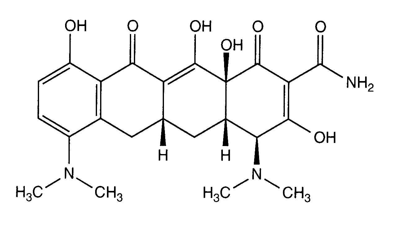
   化学構造  

商品名   商品名     

商品名、賦形剤は国、製薬会社ごとに異なることがあります

Minocin アメリカ
混合時の安定性   注射薬   混合時の安定性 : Minocycline hydrochloride     
容器 溶媒 濃度 化合物 温度 保管 安定期間 引用文献
ポリ塩化ビニル(PVC) NaCl 0,9% 0,1 mg/ml
注射薬   Minocycline hydrochloride   
注射薬   Rifampicin 0,1 mg/ml
24°C
8 時間
特記なし 263
エビデンスレベル B+
ポリ塩化ビニル(PVC) NaCl 0,9% 0,1 mg/ml
注射薬   Minocycline hydrochloride   
注射薬   Rifampicin 0,1 mg/ml
4°C
72 時間
遮光 263
エビデンスレベル B+

  Mentions Légales