Ostatnia aktualizacja :
18/03/2026
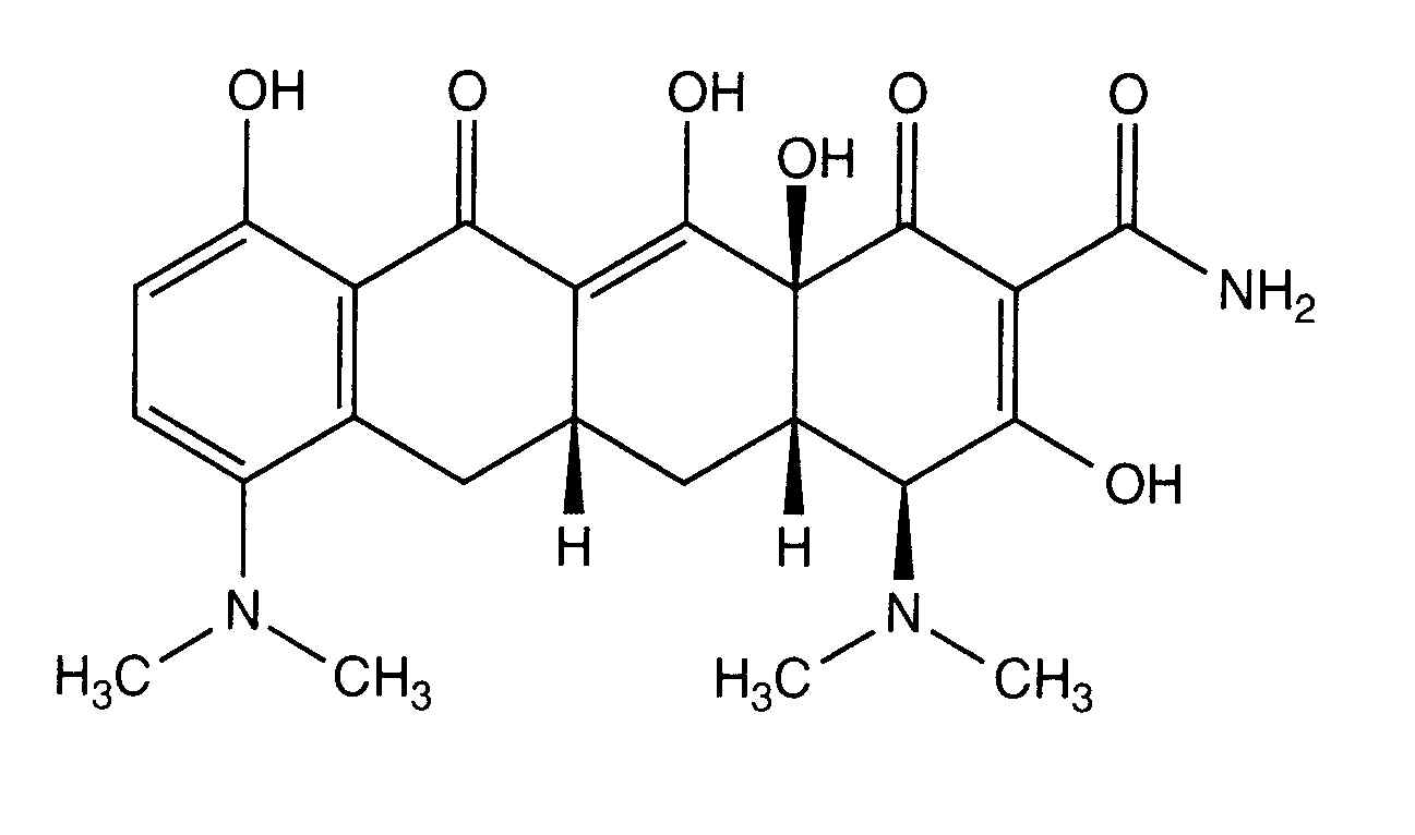
Antybiotyk   Minocycline hydrochloride  
Injekcje
Roztwór doustny
Trwałość roztworów Trwałość w mieszaninie Czynnik wpływający na trwałość Zgodność Sposób podania Bibliografia pdf
   Struktura chemiczna  

Nazwa handlowa   Nazwa handlowa     

Trade names are indicative and excipients composition can be different depending on the country and manufacturers

Minocin Stany Zjednoczone Ameryki
Trwałość w mieszaninie   Injekcje   Trwałość w mieszaninie : Minocycline hydrochloride     
Pojemnik Rozpuszczalnik Stężenie Związek Temperatura Przechowywanie Czas trwania stabilności Bibliografia
Polichlorek winylu Chlorek sodu 0,9% 0,1 mg/ml
Injekcje   Minocycline hydrochloride   
Injekcje   Rifampicin 0,1 mg/ml
24°C
8 Godzina
Nie wyszczególniony 263
Poziom wiarygodności B+
Polichlorek winylu Chlorek sodu 0,9% 0,1 mg/ml
Injekcje   Minocycline hydrochloride   
Injekcje   Rifampicin 0,1 mg/ml
4°C
72 Godzina
Chronić od światła 263
Poziom wiarygodności B+

  Mentions Légales