Ultimele actualizari :
27/11/2025
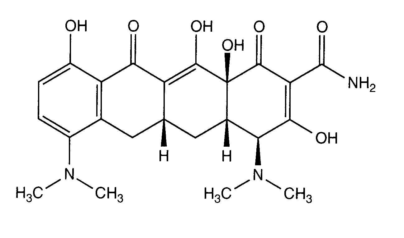
Antibiotic   Minocycline hydrochloride  
Injectabil
Soluţie orală
Stabilitatea in solutie Stabilitatea in amestec Factorii care influenteaza stabilitatea Compatibilitate Microunde Bibliografie pdf
   Formula chimica  

Denumirea comerciala   Denumirea comerciala     

Trade names are indicative and excipients composition can be different depending on the country and manufacturers

Minocin SUA
Stabilitatea in amestec   Injectabil   Stabilitatea in amestec : Minocycline hydrochloride     
Continut Solvent Concentratie Molecula (substanta activa) Temperatura Conservare Durata stabilității Bibiografie
clorura de polivinil clorura de sodiu 0,9% 0,1 mg/ml
Injectabil   Minocycline hydrochloride   
Injectabil   Rifampicin 0,1 mg/ml
24°C
8 Ora
Neprecizat 263
Nivel de evidență B+
clorura de polivinil clorura de sodiu 0,9% 0,1 mg/ml
Injectabil   Minocycline hydrochloride   
Injectabil   Rifampicin 0,1 mg/ml
4°C
72 Ora
Ferit de lumina 263
Nivel de evidență B+

  Mentions Légales