Última actualização :
18/03/2026
antibiótico   Minocycline hydrochloride  
injetável
Solução Oral
Estabilidade em soluções simples Estabilidade em misturas Factores que afectam a sua estabilidade Compatibilidade Método de administração Bibliografía pdf
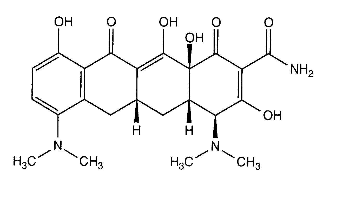
   estrutura química  

Nomes comerciais nos diversos países   Nomes comerciais nos diversos países     

OS NOMES COMERCIAIS SÃO INDICATIVOS E OS EXCIPIENTES DA FORMULAÇÃO PODEM SER DIFERENTES CONFORME O PAÍS E FABRICANTE.

Minocin Estados Unidos de América
Estabilidade em misturas   injetável   Estabilidade em misturas : Minocycline hydrochloride     
Embalagem Solvente concentração molécula temperatura conservação Duração da estabilidade Bibliografia
Cloreto de polivinilo cloreto de sódio 0,9% 0,1 mg/ml
injetável   Minocycline hydrochloride   
injetável   Rifampicin 0,1 mg/ml
24°C
8 hora
no especificado 263
Nível de evidência B+
Cloreto de polivinilo cloreto de sódio 0,9% 0,1 mg/ml
injetável   Minocycline hydrochloride   
injetável   Rifampicin 0,1 mg/ml
4°C
72 hora
ao abrigo da luz 263
Nível de evidência B+

  Mentions Légales