viimane versioon :
27/11/2025
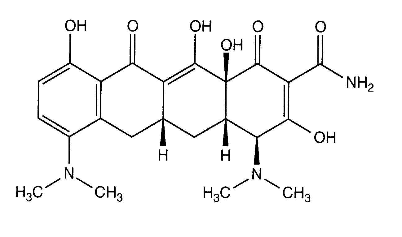
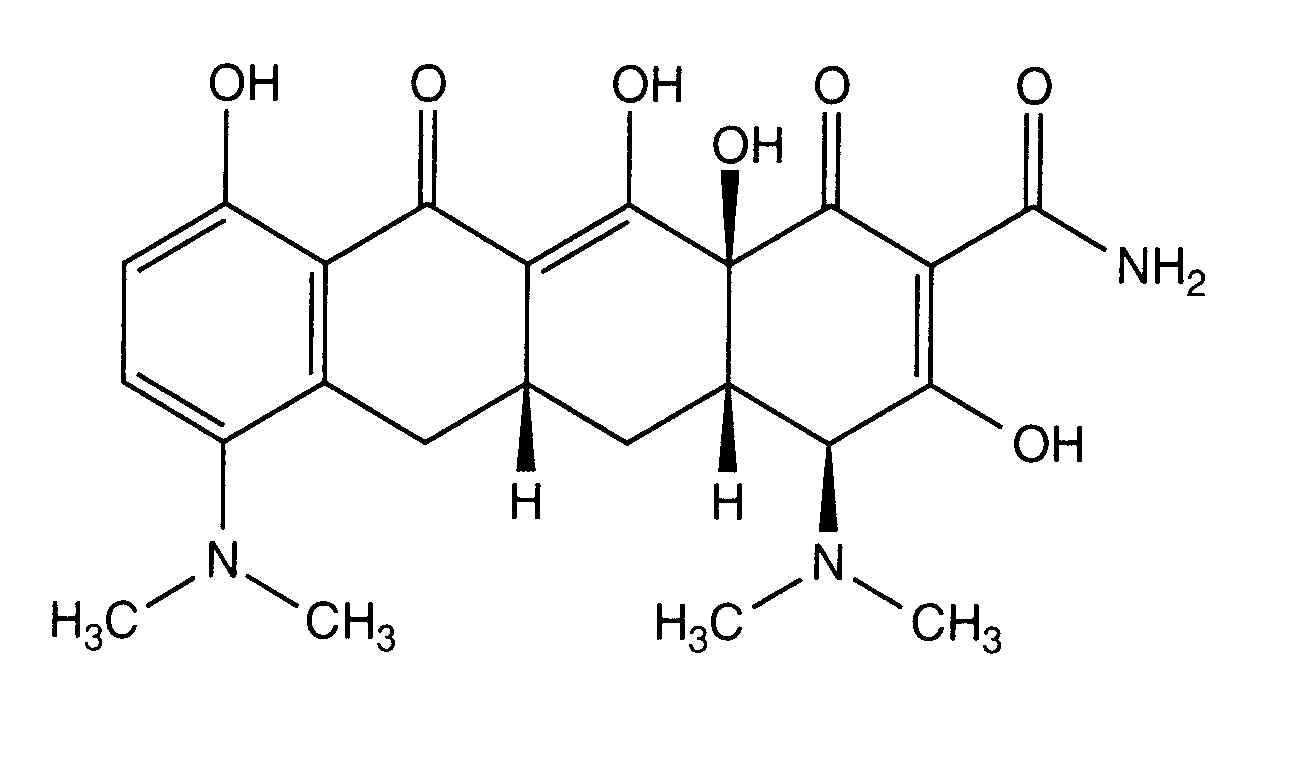
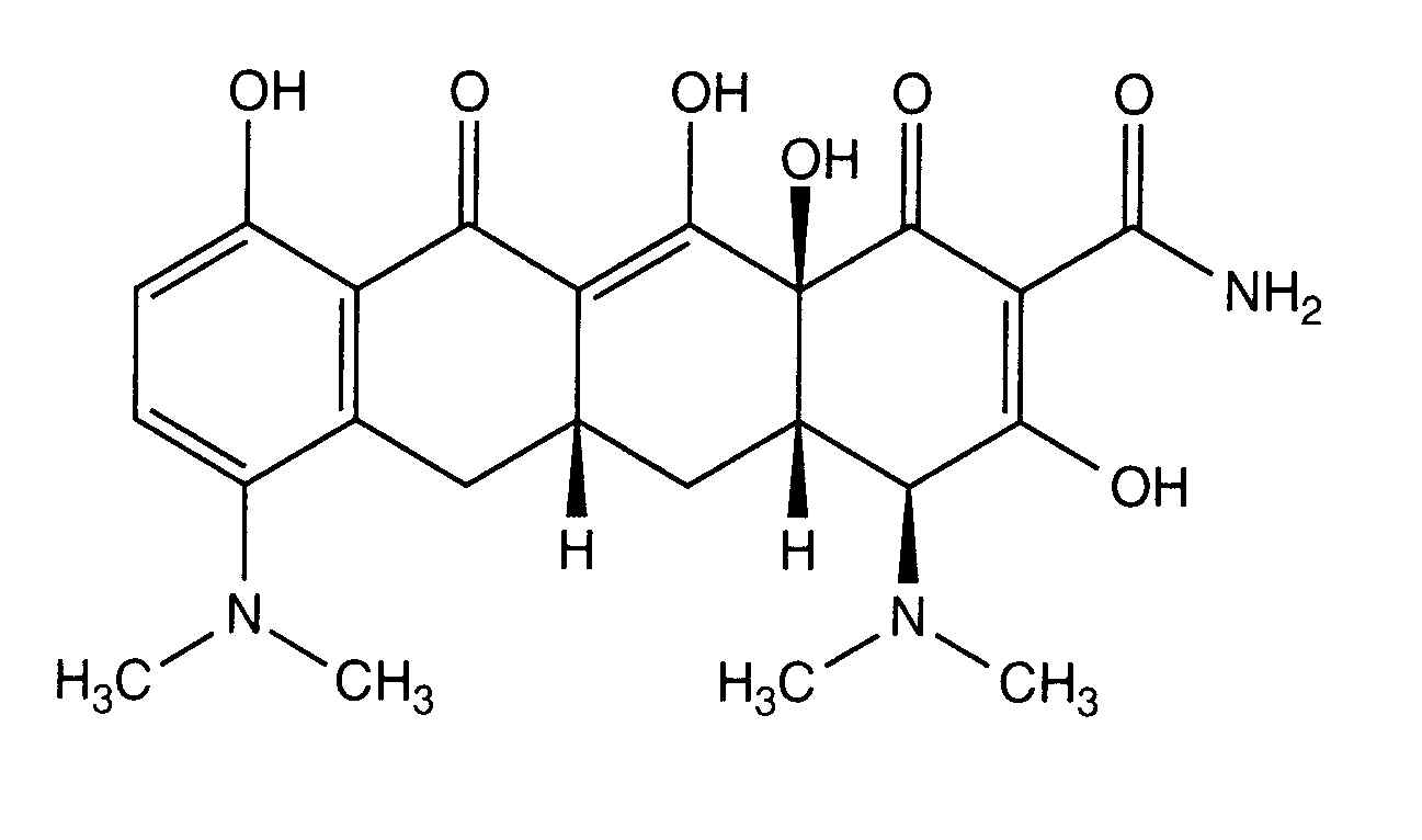
antibiootikum   Minocycline hydrochloride  
Süsteravim
suukaudne lahus
Stabiilsus lahustes Stabiilsust mõjutavad tegurid stabiilsust mõjutavad faktorid Sobimatus Manustamis viis Viited pdf
   keemiline struktuur  

Kaubanduslikud nimed erinevates maades   Kaubanduslikud nimed erinevates maades     

Preparaatide nimed on näitlikud ja abianete sisaldus võib erineda sõltuvalt riigist ja laborist

Minocin Ameerika ühendriigid
Stabiilsust mõjutavad tegurid   Süsteravim   Stabiilsust mõjutavad tegurid : Minocycline hydrochloride     
konteiner lahusti kontsentratsioon ingredient temperatuur ladustamine Stabiilsuse kestus Viited
polüvinüülkloriid naatriumkloriid 0.9% 0,1 mg/ml
Süsteravim   Minocycline hydrochloride   
Süsteravim   Rifampicin 0,1 mg/ml
24°C
8 Tund
pole täpsustatud 263
Tõenduspõhisuse tase B+
polüvinüülkloriid naatriumkloriid 0.9% 0,1 mg/ml
Süsteravim   Minocycline hydrochloride   
Süsteravim   Rifampicin 0,1 mg/ml
4°C
72 Tund
kaitsta valguse eest 263
Tõenduspõhisuse tase B+

  Mentions Légales