Last update :
27/11/2025
Antibiotic   Minocycline hydrochloride  
injection
Oral solution
Stability in solutions Stability of mixtures Factors which affect stability Compatibility Route of administration References pdf
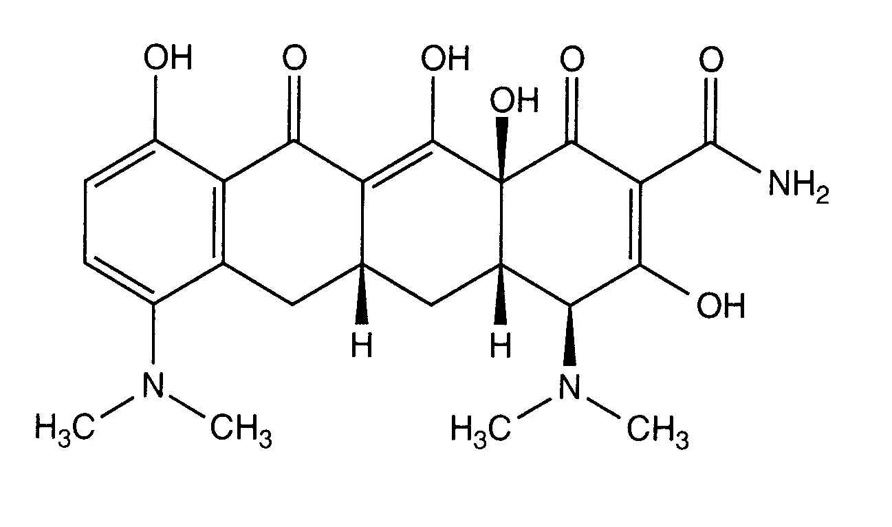
   Chemical structure  

Tradename   Tradename     

Trade names are indicative and excipients composition can be different depending on the country and manufacturers

Minocin United States of America
Stability of mixtures   injection   Stability of mixtures : Minocycline hydrochloride     
Container Solvent Concentration Compound Temperature Storage Duration of stability References
Polyvinyl chloride Sodium chloride 0,9% 0,1 mg/ml
injection   Minocycline hydrochloride   
injection   Rifampicin 0,1 mg/ml
24°C
8 Hour
Not specified 263
Level of evidence B+
Polyvinyl chloride Sodium chloride 0,9% 0,1 mg/ml
injection   Minocycline hydrochloride   
injection   Rifampicin 0,1 mg/ml
4°C
72 Hour
Protect from light 263
Level of evidence B+

  Mentions Légales