Posledná aktualizácia :
27/11/2025
antibiotikum   Minocycline hydrochloride  
Injekcia
Perorálny roztok
Stabilita roztokov Stabilita v zmesiach Faktory ovplyvňujúce stabilitu Kompatibility spôsob podania Odkazy na literatúru PDF
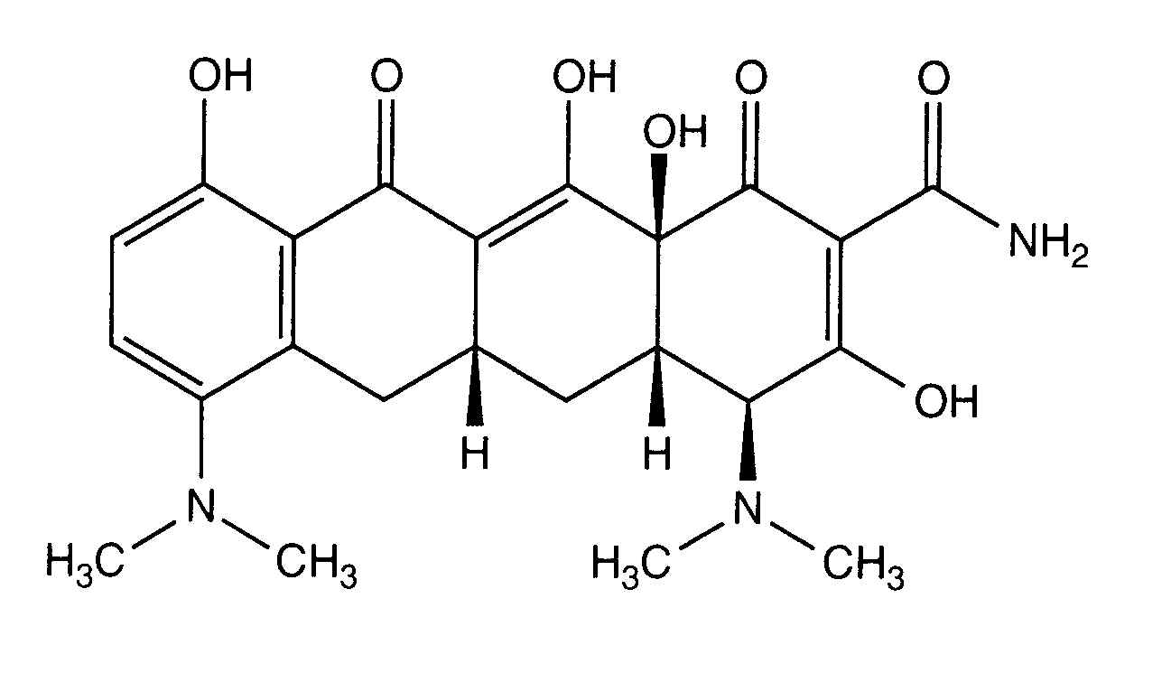
   Chemický vzorec  

Obchodný názov   Obchodný názov     

Obchodné názvy sú orientačné, a zloženie pomocných látok sa môže líšiť v závislosti od krajiny a výrobcu.

Minocin Spojené štáty Americké
Stabilita v zmesiach   Injekcia   Stabilita v zmesiach : Minocycline hydrochloride     
obal rozpúšťadlo koncentrácia Zlúčenina teplota uchovávanie Trvanie stability odkazy na lieteratúru
polyvinylchlorid (PVC) 0,9% chlorid sodný 0,1 mg/ml
Injekcia   Minocycline hydrochloride   
Injekcia   Rifampicin 0,1 mg/ml
24°C
8 hodín
nešpecifikované 263
Úroveň dôkazov B+
polyvinylchlorid (PVC) 0,9% chlorid sodný 0,1 mg/ml
Injekcia   Minocycline hydrochloride   
Injekcia   Rifampicin 0,1 mg/ml
4°C
72 hodín
Chránené pred svetlom 263
Úroveň dôkazov B+

  Mentions Légales