Ultimo aggiornamento :
27/11/2025
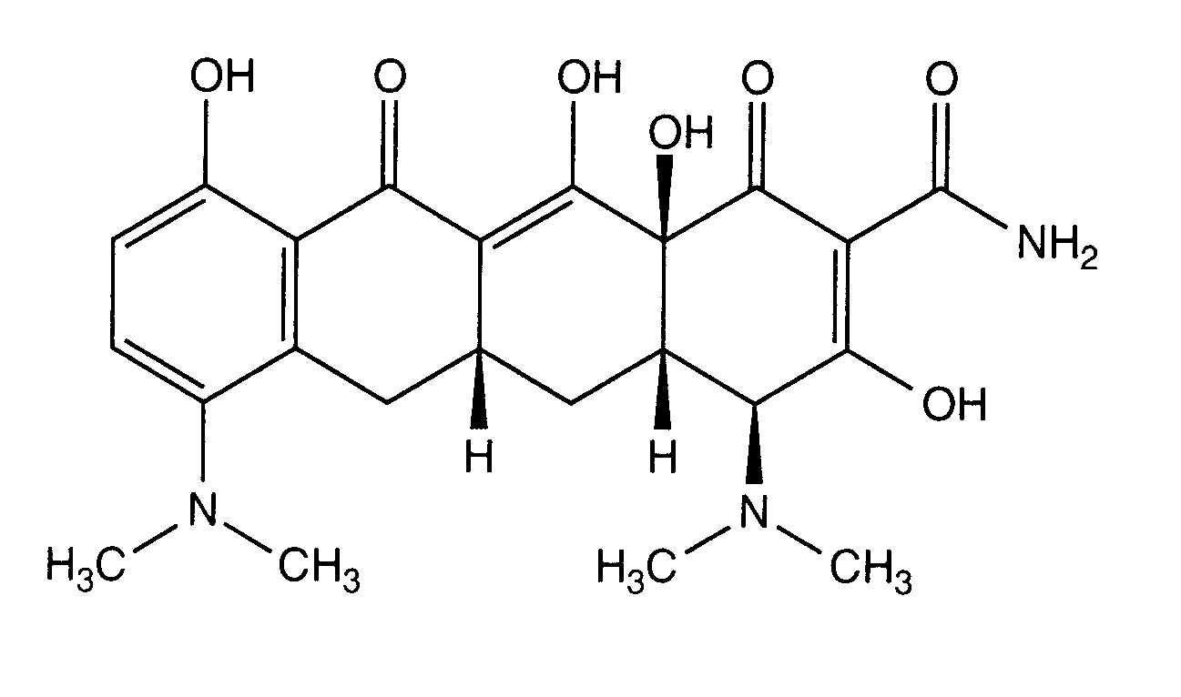
Antibiotico   Minocycline hydrochloride  
Iniezione
Soluzione orale
Stabilità in soluzione Stabilità in miscela Fattori che influenzano la stabilità Compatibilità metodo di iniezione Bibliografia pdf
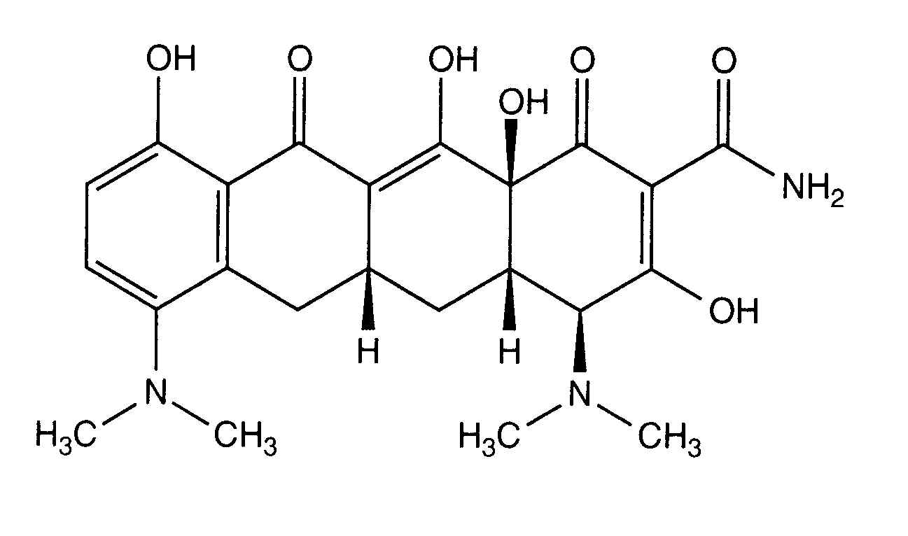
   Struttura chimica  

Nome commerciale   Nome commerciale     

Trade names are indicative and excipients composition can be different depending on the country and manufacturers

Minocin Stati Uniti d’America
Stabilità in miscela   Iniezione   Stabilità in miscela : Minocycline hydrochloride     
contenitore Solvente Concentrazione Molecola Temperatura Conservazione Durata della stabilità Bibliografia
Cloruro di polivinile Cloruro di sodio 0,9% 0,1 mg/ml
Iniezione   Minocycline hydrochloride   
Iniezione   Rifampicin 0,1 mg/ml
24°C
8 Ora
Non precisata 263
Livello di evidenza B+
Cloruro di polivinile Cloruro di sodio 0,9% 0,1 mg/ml
Iniezione   Minocycline hydrochloride   
Iniezione   Rifampicin 0,1 mg/ml
4°C
72 Ora
Al riparo dalla luce 263
Livello di evidenza B+

  Mentions Légales