zadnja posodobitev :
27/11/2025
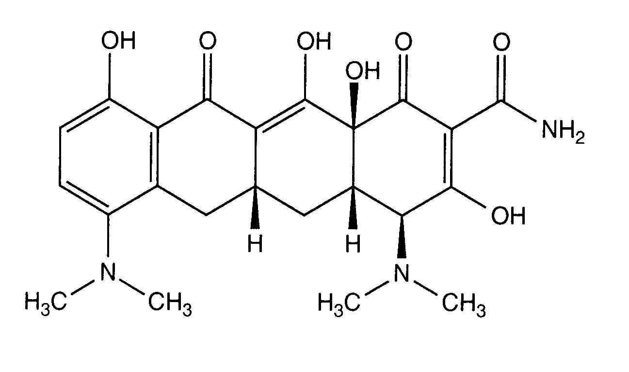
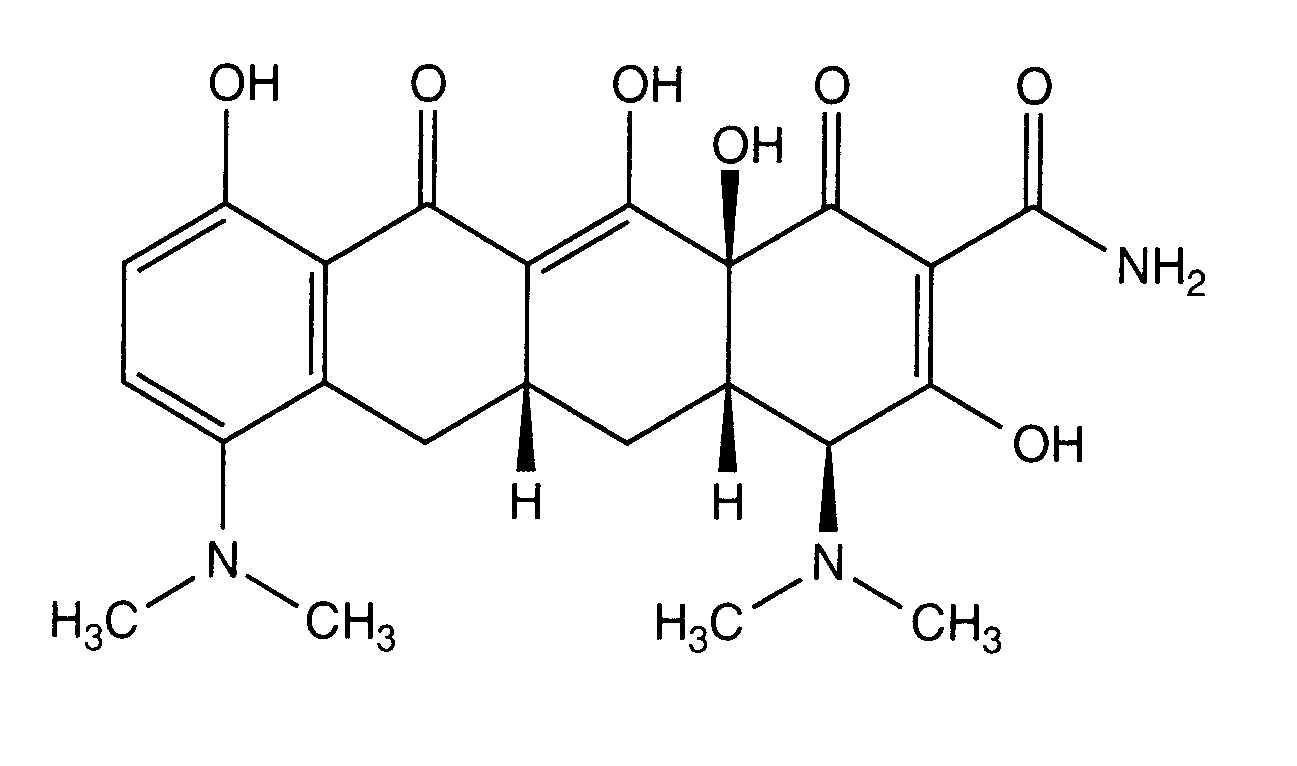
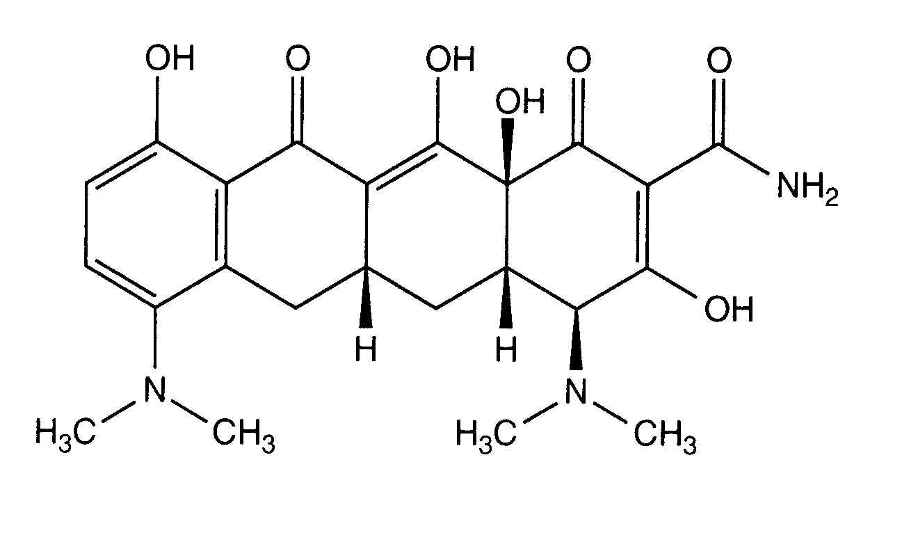
Antibiotik   Minocycline hydrochloride  
Brizgalka
Peroralna raztopina
Stabilnost raztopine Stabilnost mešanice Faktorji, ki vplivajo na stabilnost Kompatibilnost način aplikacije Viri pdf
   Kemična formula  

Lastniško ime   Lastniško ime     

Sestava pomožnih snovi je med paralelami lahko različna

Minocin Združene države Amerike
Stabilnost mešanice   Brizgalka   Stabilnost mešanice : Minocycline hydrochloride     
Vsebnik Topilo Koncentracija Sestava Temperatura Shranjevanje Trajanje stabilnosti Viri
Polivinil klorid Natrijev klorid 0,9% 0,1 mg/ml
Brizgalka   Minocycline hydrochloride   
Brizgalka   Rifampicin 0,1 mg/ml
24°C
8 čas
Nedoločeno 263
 Stopnja dokaza B+
Polivinil klorid Natrijev klorid 0,9% 0,1 mg/ml
Brizgalka   Minocycline hydrochloride   
Brizgalka   Rifampicin 0,1 mg/ml
4°C
72 čas
Zaščiteno pred svetlobo 263
 Stopnja dokaza B+

  Mentions Légales