最新更新 :
27/11/2025
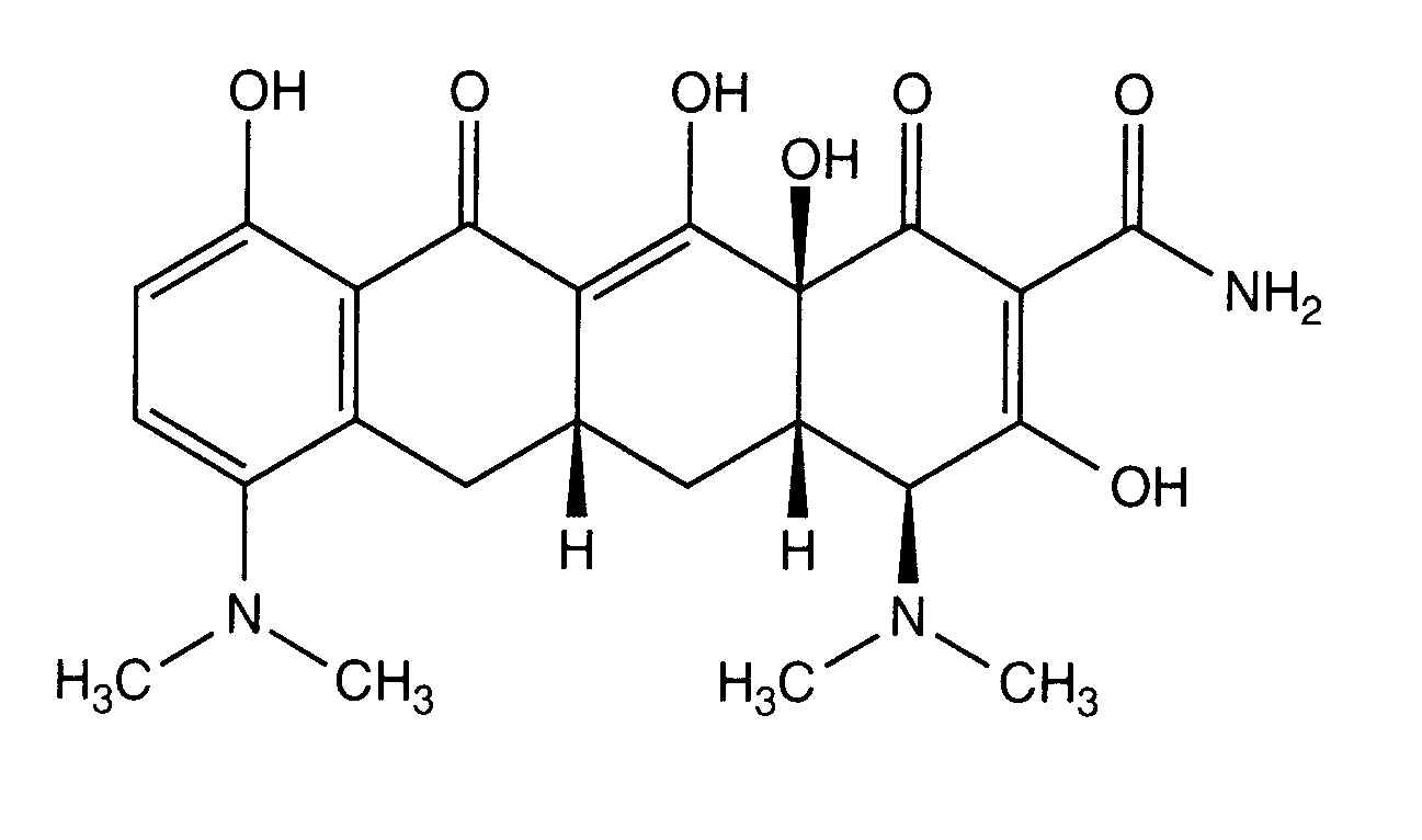
抗生素   Minocycline hydrochloride  
注射液
口服剂
溶液稳定性 混合物稳定性 影响稳定性的因素 兼容性 用药途径 引用文献 PDF
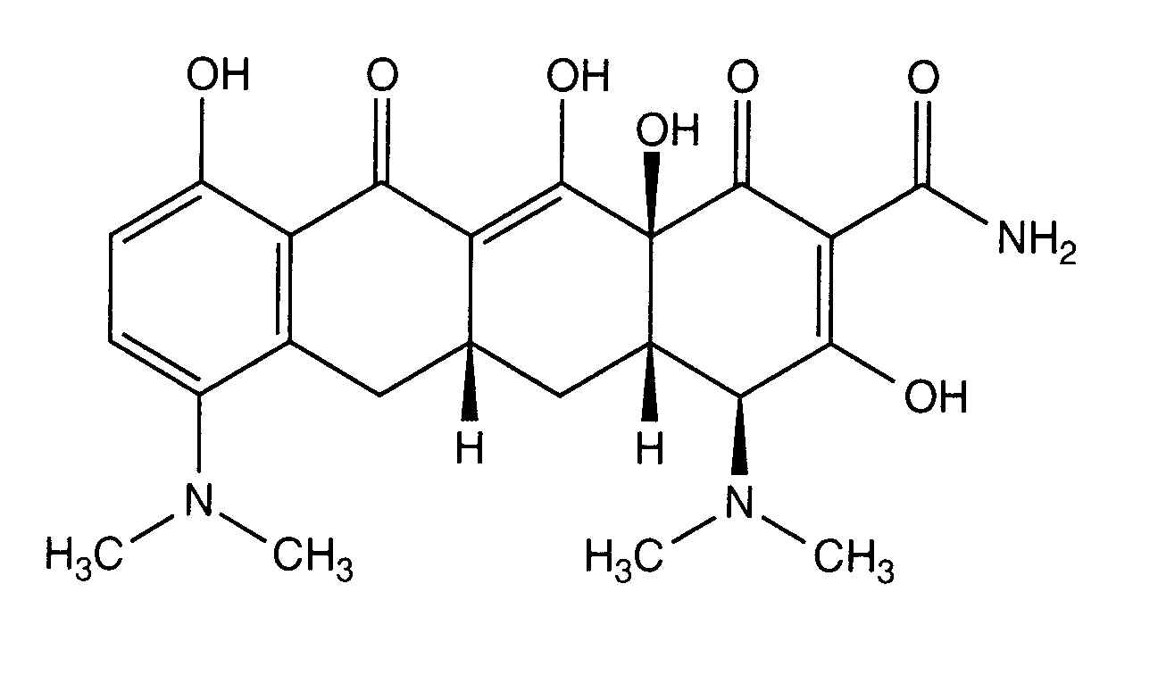
   化学式  

商品名   商品名     

商品名仅供参考, 药品所用的辅料可能依国家或厂商不同有所不同。

Minocin 美国
混合物稳定性   注射液   混合物稳定性 : Minocycline hydrochloride     
容器 溶剂 浓度 分子 温度 保存 穩定持續時間 引用文献
聚氯乙烯 NaCl 0,9% 0,1 mg/ml
注射液   Minocycline hydrochloride   
注射液   Rifampicin 0,1 mg/ml
24°C
8 小时
无特殊要求 263
B+级
聚氯乙烯 NaCl 0,9% 0,1 mg/ml
注射液   Minocycline hydrochloride   
注射液   Rifampicin 0,1 mg/ml
4°C
72 小时
避光 263
B+级

  Mentions Légales