Poslední aktualizace :
27/11/2025
Antibiotikum   Minocycline hydrochloride  
injekce
Perorální roztok
Stabilita roztoků Stabilita směsí Faktory ovlivňující stabilitu Kompatibilita Způsoby aplikace Odkazy pdf
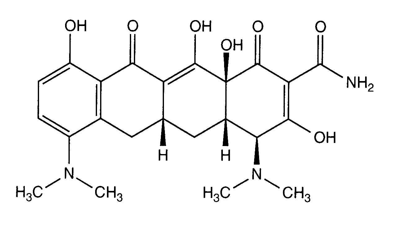
   Chemický vzorec  

Obchodní název   Obchodní název     

Trade names are indicative and excipients composition can be different depending on the country and manufacturers

Minocin USA
Stabilita směsí   injekce   Stabilita směsí : Minocycline hydrochloride     
Obal RozpouötÏdlo Koncentrace SlouËenina Teplota Uchovávání Trvání stability Odkazy
Polyvinyl chlorid Chlorid sodný 0,9% 0,1 mg/ml
injekce   Minocycline hydrochloride   
injekce   Rifampicin 0,1 mg/ml
24°C
8 Hodina
Nespecifikováno 263
Úroveň zkoušky B+
Polyvinyl chlorid Chlorid sodný 0,9% 0,1 mg/ml
injekce   Minocycline hydrochloride   
injekce   Rifampicin 0,1 mg/ml
4°C
72 Hodina
Chráněno před světlem 263
Úroveň zkoušky B+

  Mentions Légales