Siste oppdatering :
27/11/2025
Antibiotika   Minocycline hydrochloride  
Injeksjon
Mikstur
Oppløsningsstabilitet Stabilitet i blandinger Faktorer som påvirker stabiliteten Kompatibilitet Administrasjonsmåte Referanser pdf
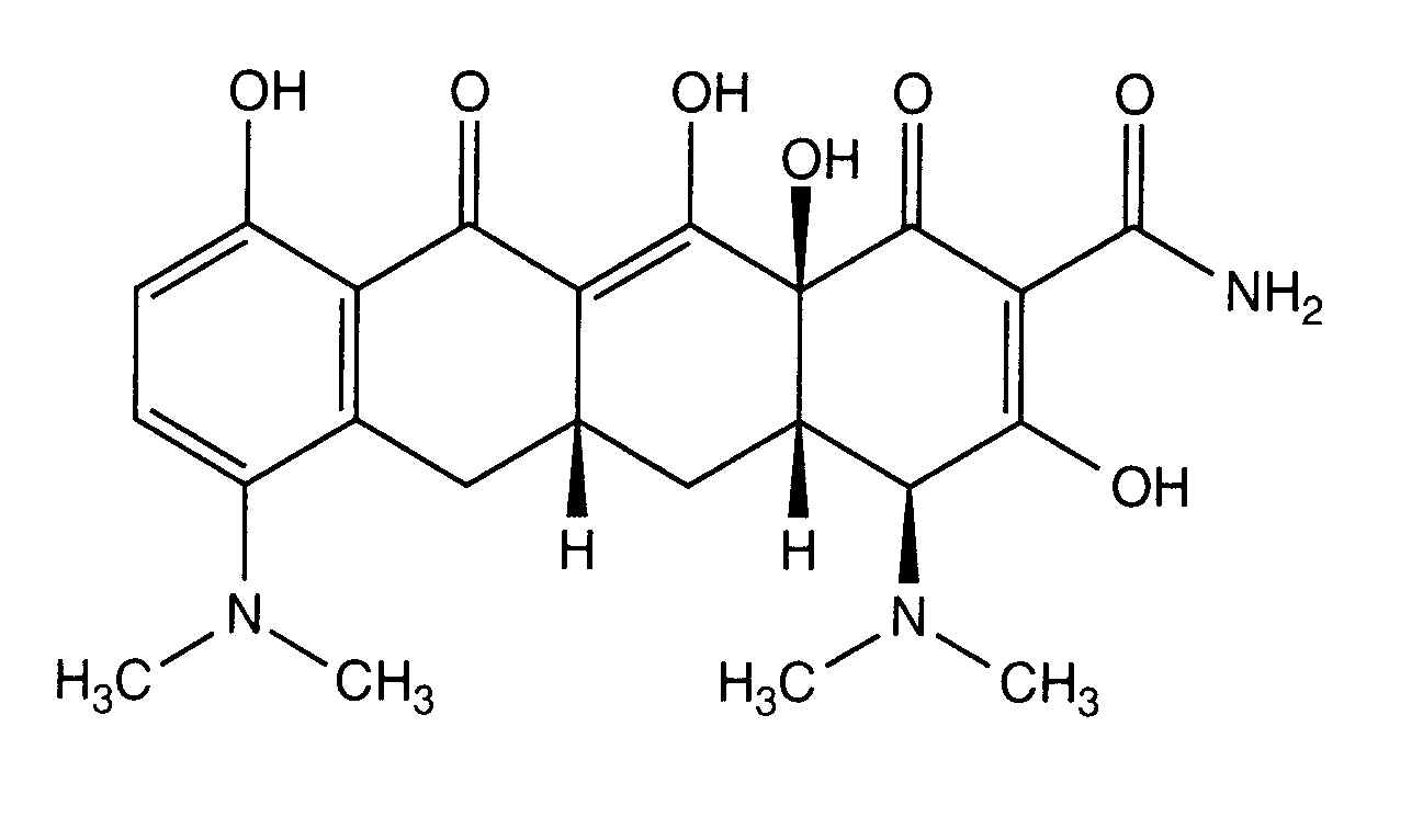
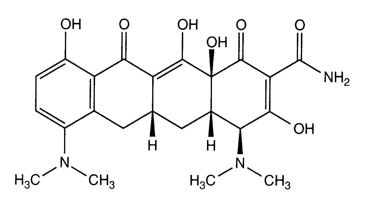
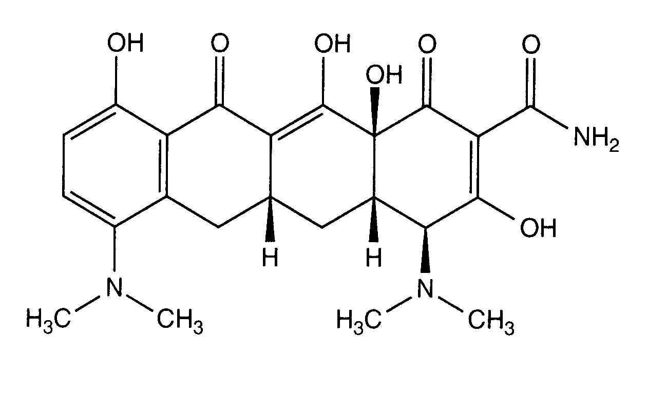
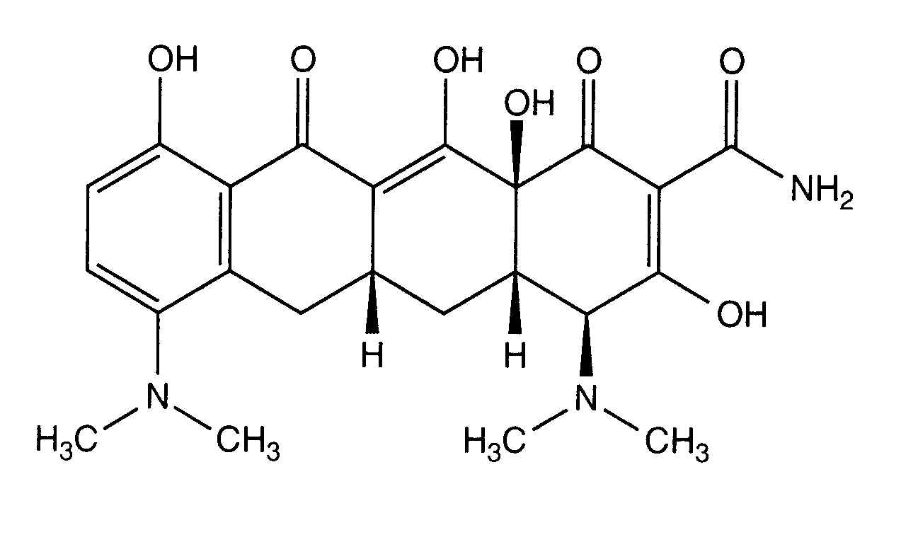
   Kjemisk struktur  

Handelsnavn   Handelsnavn     

Handelsnavn er veiledende og sammensetning av hjelpestoffer kan være forskjellig avhengig av land og produsent

Minocin USA
Stabilitet i blandinger   Injeksjon   Stabilitet i blandinger : Minocycline hydrochloride     
Beholder Oppløsningsmiddel Konsentrasjon Legemiddel Temperatur Oppbevaring Varighet av stabilitet Referanser
Polyvinylklorid Natriumklorid 0,9 % 0,1 mg/ml
Injeksjon   Minocycline hydrochloride   
Injeksjon   Rifampicin 0,1 mg/ml
24°C
8 Tid
Ikke angitt 263
Bevisgrad B+
Polyvinylklorid Natriumklorid 0,9 % 0,1 mg/ml
Injeksjon   Minocycline hydrochloride   
Injeksjon   Rifampicin 0,1 mg/ml
4°C
72 Tid
Beskyttes mot lys 263
Bevisgrad B+

  Mentions Légales