Cập nhật lần cuối :
18/03/2026
Thuốc chống nôn   Prochlorperazine edysilate  
Thuốc nhỏ mũi
Dạng tiêm
Tính ổn định của các chế phẩm Độ ổn định khi trộn lẫn Những yếu tố ảnh hưởng đến độ ổn định Khả năng tương thích Tài liệu tham khảo Pdf
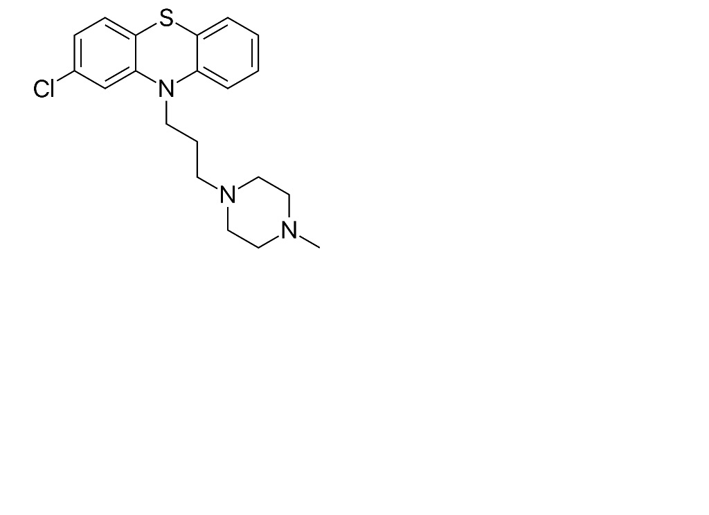
   Cấu trúc hóa học  

Thuốc nhỏ mũi

Những yếu tố ảnh hưởng đến độ ổn định   Thuốc nhỏ mũi   Những yếu tố ảnh hưởng đến độ ổn định : Prochlorperazine edysilate        
Không có dữ liệu

  Mentions Légales