Zadnji put ažurirano :
18/03/2026
antiemetik   Prochlorperazine edysilate  
kapi za nos
injekcija
Stabilnost farmaceutskih pripravaka Stabilnost mješavine Stabilizacijski faktor Kompatibilnosti Bibliografija pdf
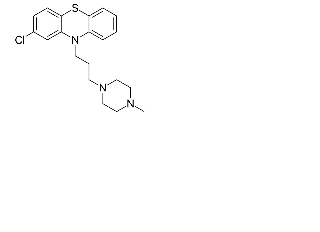
   Kemijska struktura  

kapi za nos

Stabilizacijski faktor   kapi za nos   Stabilizacijski faktor : Prochlorperazine edysilate        
bez podataka

  Mentions Légales