Ultimele actualizari :
18/03/2026
Antiemetic   Prochlorperazine edysilate  
Picaturi pentru nas
Injectabil
Stabilitatea preparatelor farmaceutice Stabilitatea in amestec Factorii care influenteaza stabilitatea Compatibilitate Bibliografie pdf
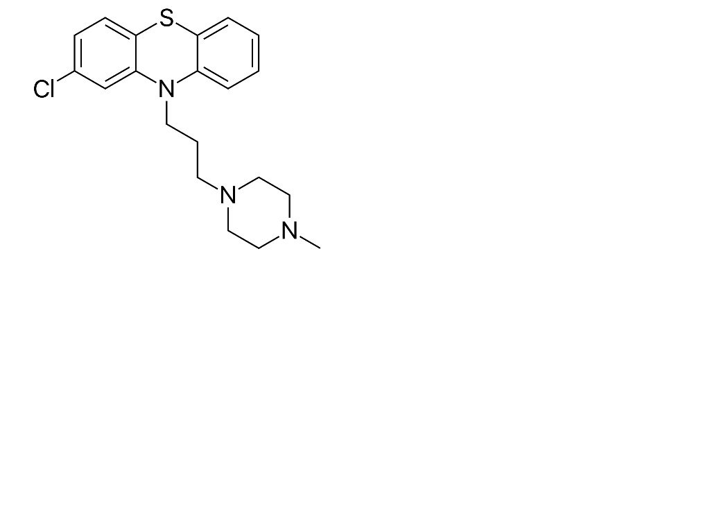
   Formula chimica  

Picaturi pentru nas

Factorii care influenteaza stabilitatea   Picaturi pentru nas   Factorii care influenteaza stabilitatea : Prochlorperazine edysilate        
Absenta de date

  Mentions Légales