Ultimo aggiornamento :
18/03/2026
Antiemetico   Prochlorperazine edysilate  
gocce nasali
Iniezione
Stabilità dei preparati farmaceutici Stabilità in miscela Fattori che influenzano la stabilità Compatibilità Bibliografia pdf
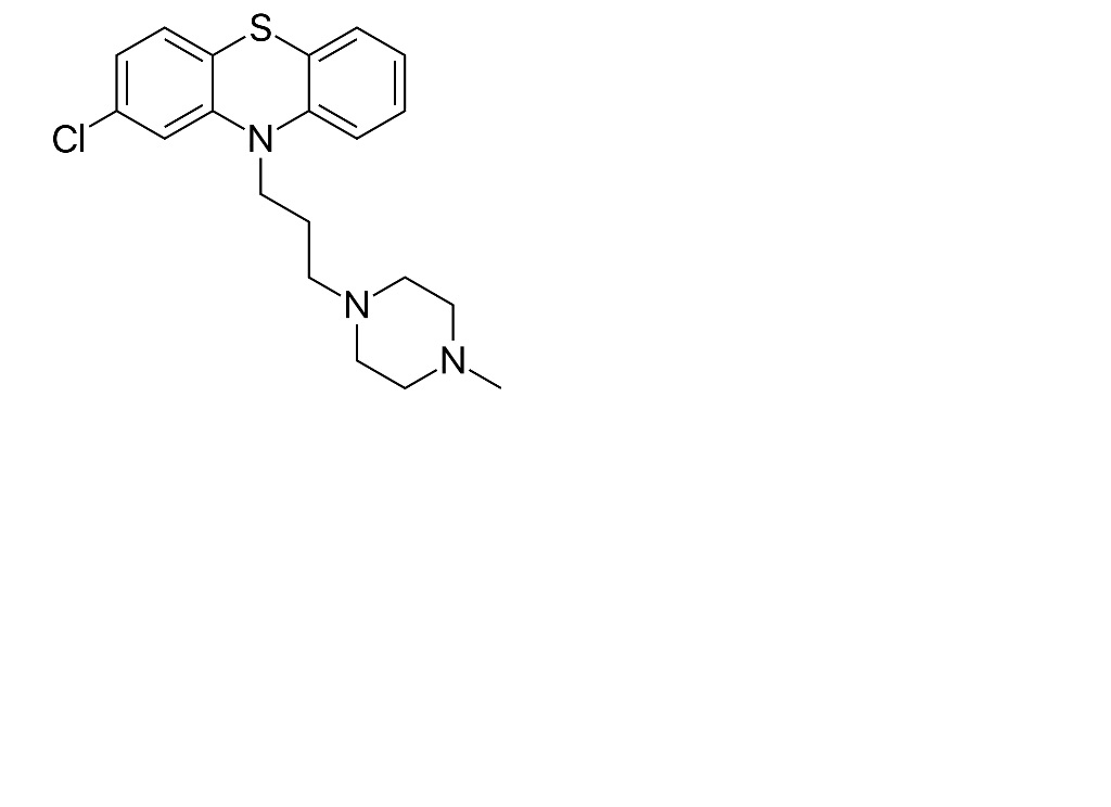
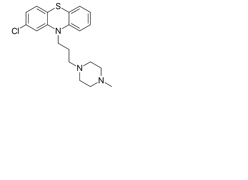
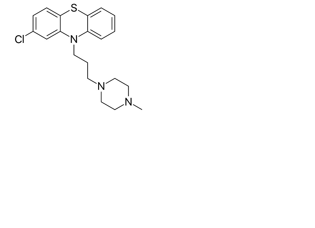
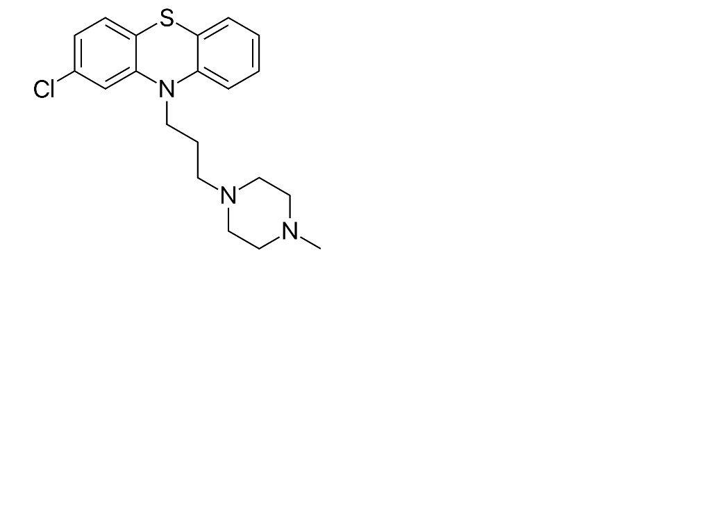
   Struttura chimica  

gocce nasali

Fattori che influenzano la stabilità   gocce nasali   Fattori che influenzano la stabilità : Prochlorperazine edysilate        
Assenza di dati

  Mentions Légales