Posledná aktualizácia :
18/03/2026
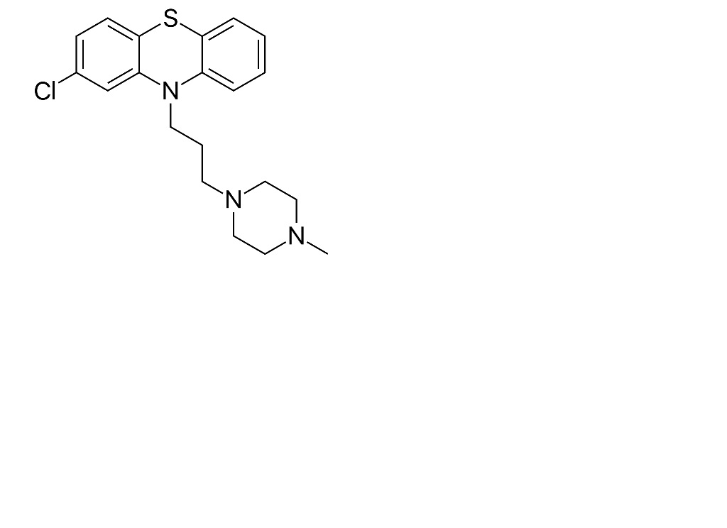
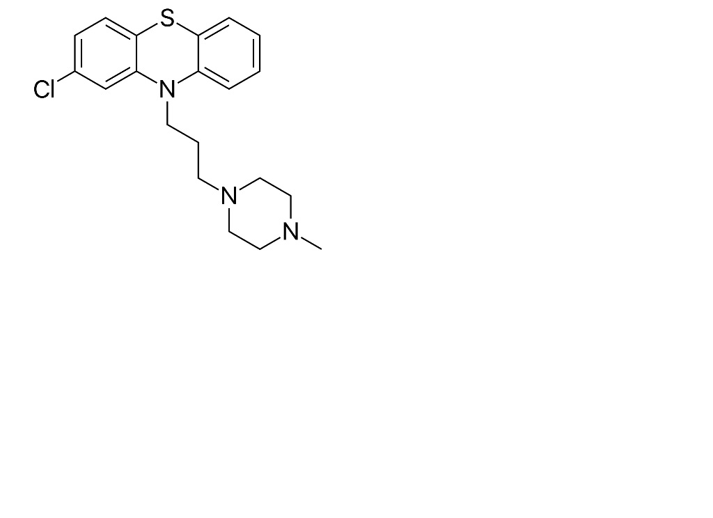
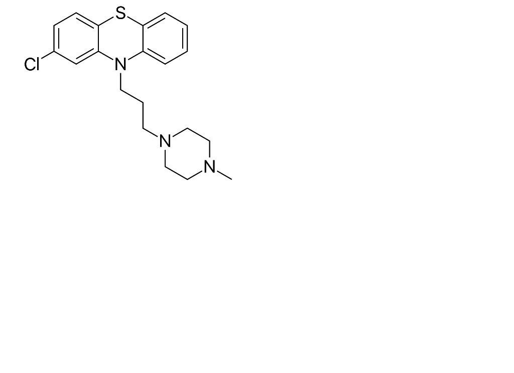
antiemetikum   Prochlorperazine edysilate  
Nosová instilácia
Injekcia
Stabilita farmaceutických prípravkov Stabilita v zmesiach Faktory ovplyvňujúce stabilitu Kompatibility Odkazy na literatúru PDF
   Chemický vzorec  

Nosová instilácia

Faktory ovplyvňujúce stabilitu   Nosová instilácia   Faktory ovplyvňujúce stabilitu : Prochlorperazine edysilate        
žiadne údaje

  Mentions Légales