Pēdējā atjaunošana :
27/11/2025
Pretvemšanas līdzeklis   Prochlorperazine edysilate  
Deguna pilieni
Injekcija
Stabilitāte farmaceitisko preparātu Maisījuma stabilitāte Stabilitāti ietekmējoši faktori Saderība Literatūras saraksts pdf
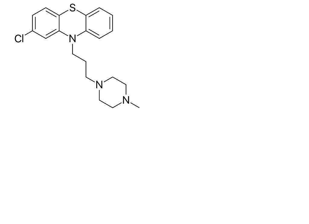
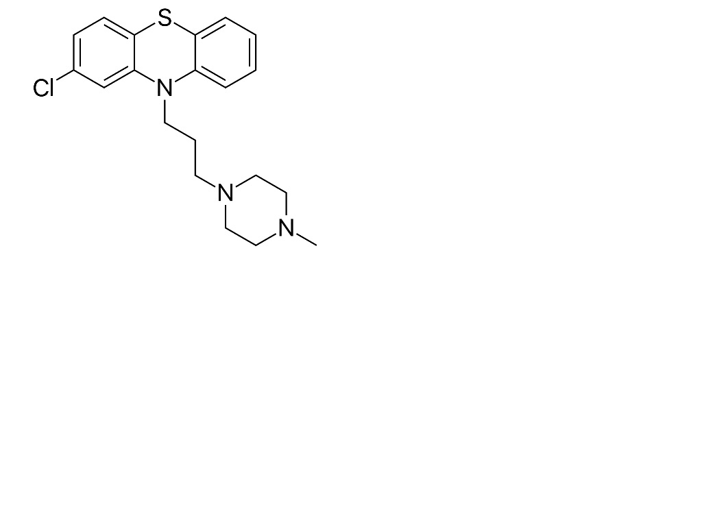
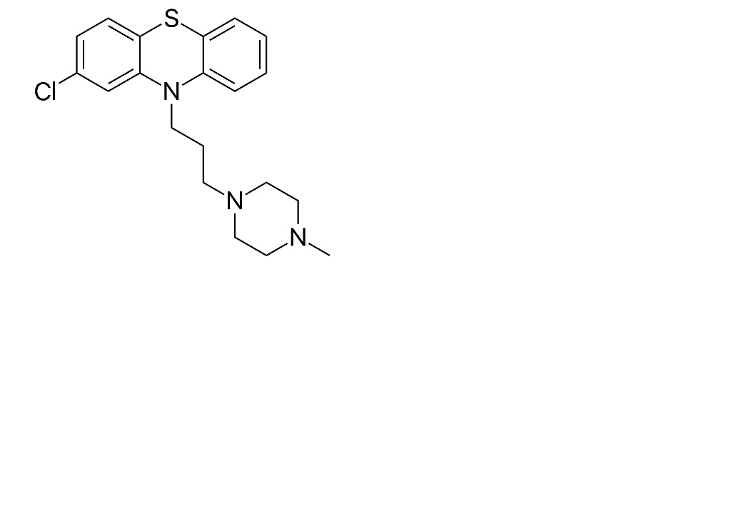
   Ķīmiskā uzbūve   

Deguna pilieni

Stabilitāti ietekmējoši faktori   Deguna pilieni   Stabilitāti ietekmējoši faktori : Prochlorperazine edysilate        
Nav datu

  Mentions Légales