Dernière mise à jour :
18/03/2026
Antiémétique   Prochlorperazine edysilate  
Gouttes nasales
injectable
Stabilité des préparations Stabilité en mélange Facteur influençant la stabilité Compatibilités Bibliographie pdf
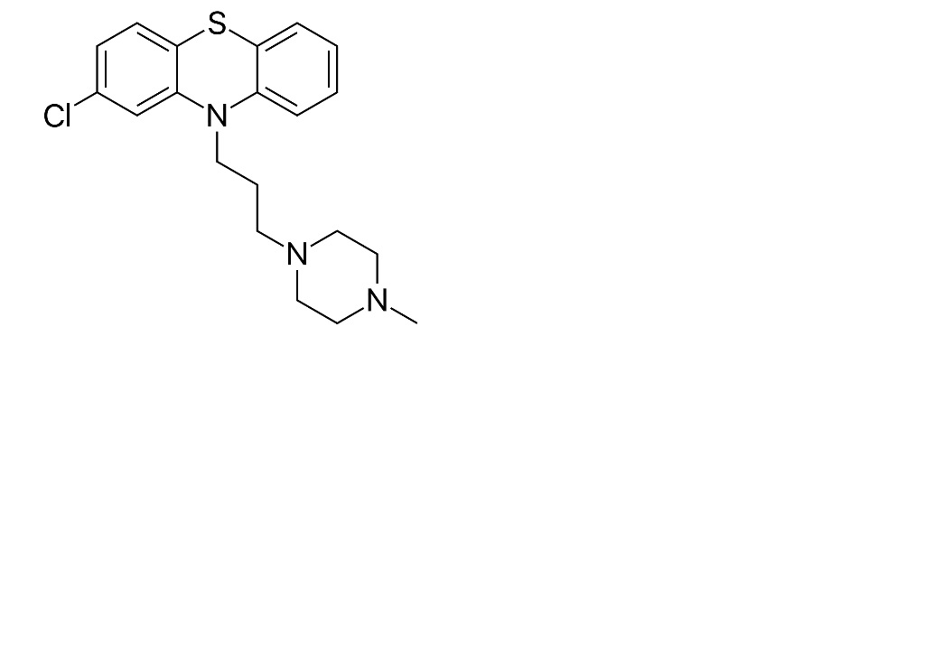
   Structure chimique  

Gouttes nasales

Facteur influençant la stabilité   Gouttes nasales   Facteur influençant la stabilité : Prochlorperazine edysilate        
Aucune donnée

  Mentions Légales