Viimeisin päivitys :
27/11/2025
Pahoinvontilääkkeet   Prochlorperazine edysilate  
Nenätipat
Injektioneste
Vakaus lääkevalmisteen Stabilius seoksissa Tekijät, jotka vaikuttavat stabiliuteen Yhteensopivuus Viitteet pdf
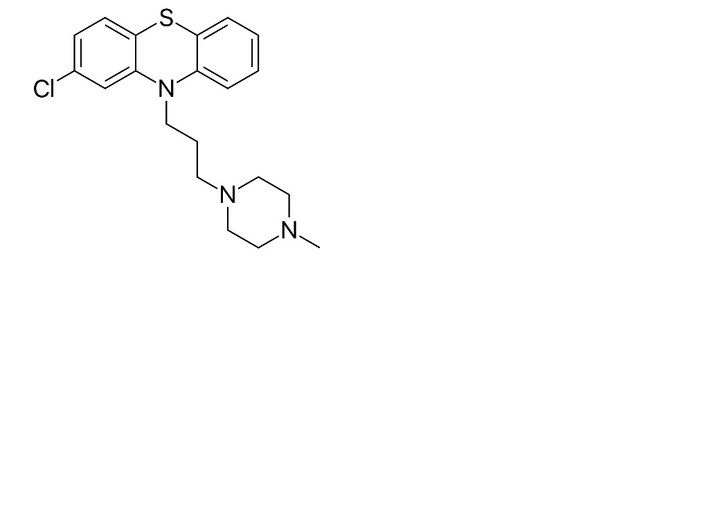
   Kemiallinen rakenne  

Nenätipat

Tekijät, jotka vaikuttavat stabiliuteen   Nenätipat   Tekijät, jotka vaikuttavat stabiliuteen : Prochlorperazine edysilate        
ei tietoa

  Mentions Légales