zadnja posodobitev :
27/11/2025
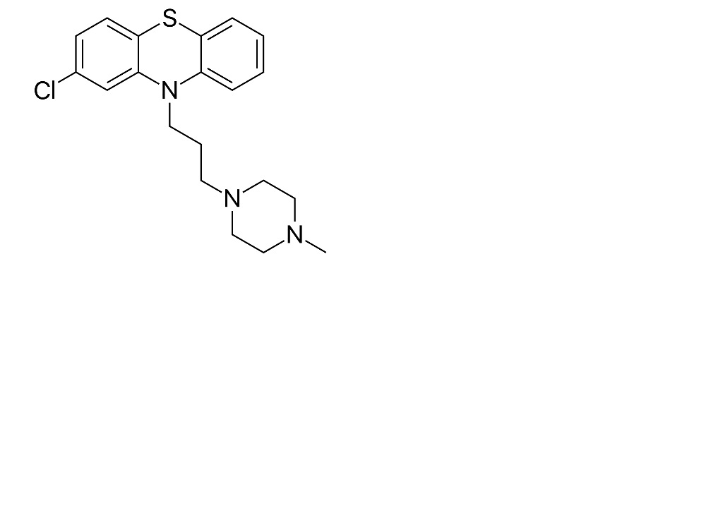
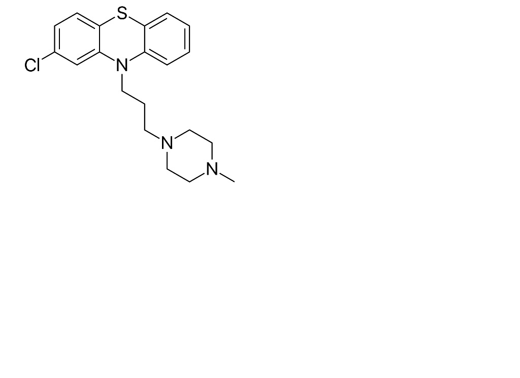
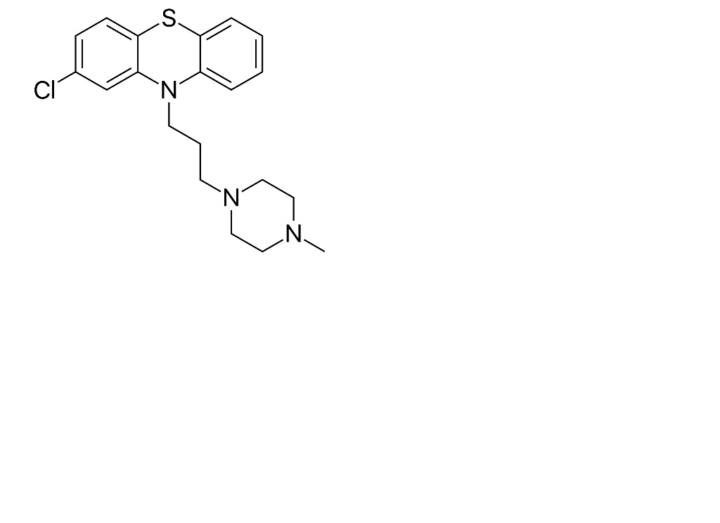
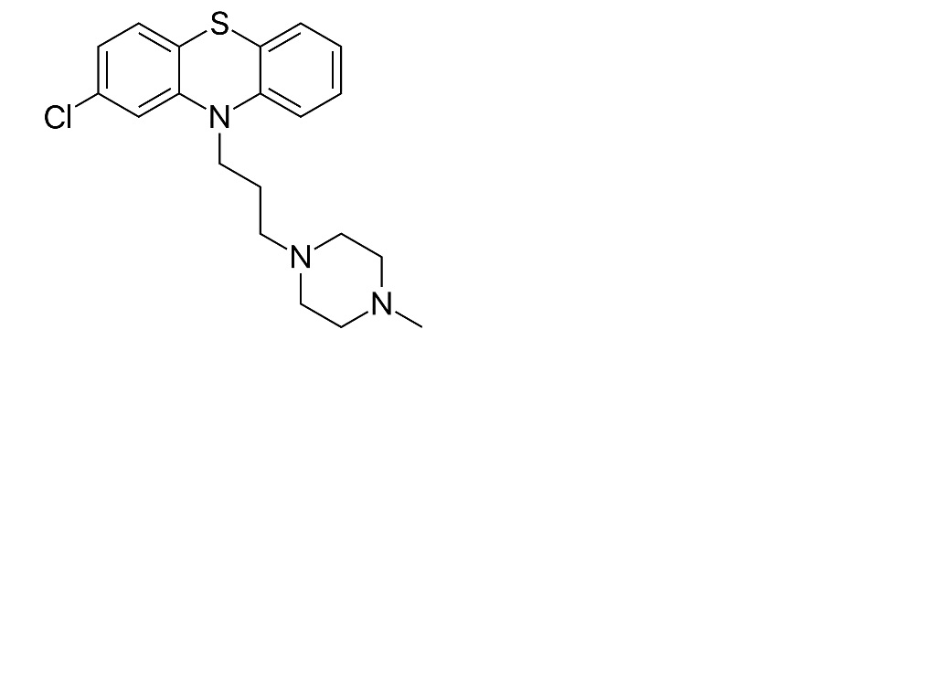
Antiemetik   Prochlorperazine edysilate  
Kapljice za nos
Brizgalka
Stabilnost farmacevtskih preparatov Stabilnost mešanice Faktorji, ki vplivajo na stabilnost Kompatibilnost Viri pdf
   Kemična formula  

Kapljice za nos

Faktorji, ki vplivajo na stabilnost   Kapljice za nos   Faktorji, ki vplivajo na stabilnost : Prochlorperazine edysilate        
ni podatka

  Mentions Légales