Poslední aktualizace :
27/11/2025
Antiemetikas   Prochlorperazine edysilate  
Lašai į nosį
Įpurškimas
Stabilumas farmacinių preparatų Mišinių stabilumas Stabilumą lemiantys veiksniai Suderinamumas Bibliografija pdf
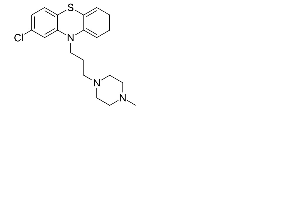
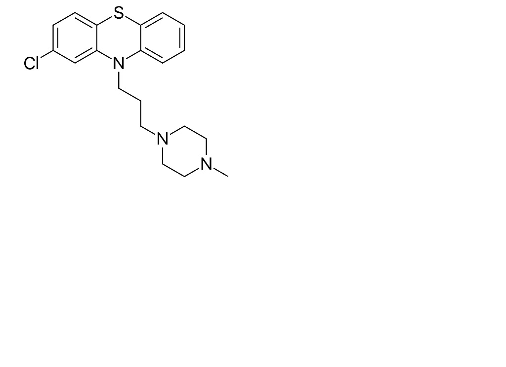
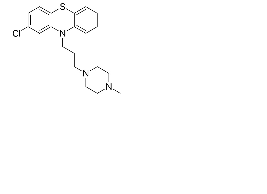
   Cheminė sandara  

Lašai į nosį

Stabilumą lemiantys veiksniai   Lašai į nosį   Stabilumą lemiantys veiksniai : Prochlorperazine edysilate        
Nėra duomenų

  Mentions Légales