Laatste update :
18/03/2026
Anti-emeticum   Prochlorperazine edysilate  
neusdruppels
injecteerbaar geneesmiddel
Stabiliteit van farmaceutische preparaten Stabiliteit in mengsels Factoren die de stabiliteit beïnvloeden Verenigbaarheden Literatuur pdf
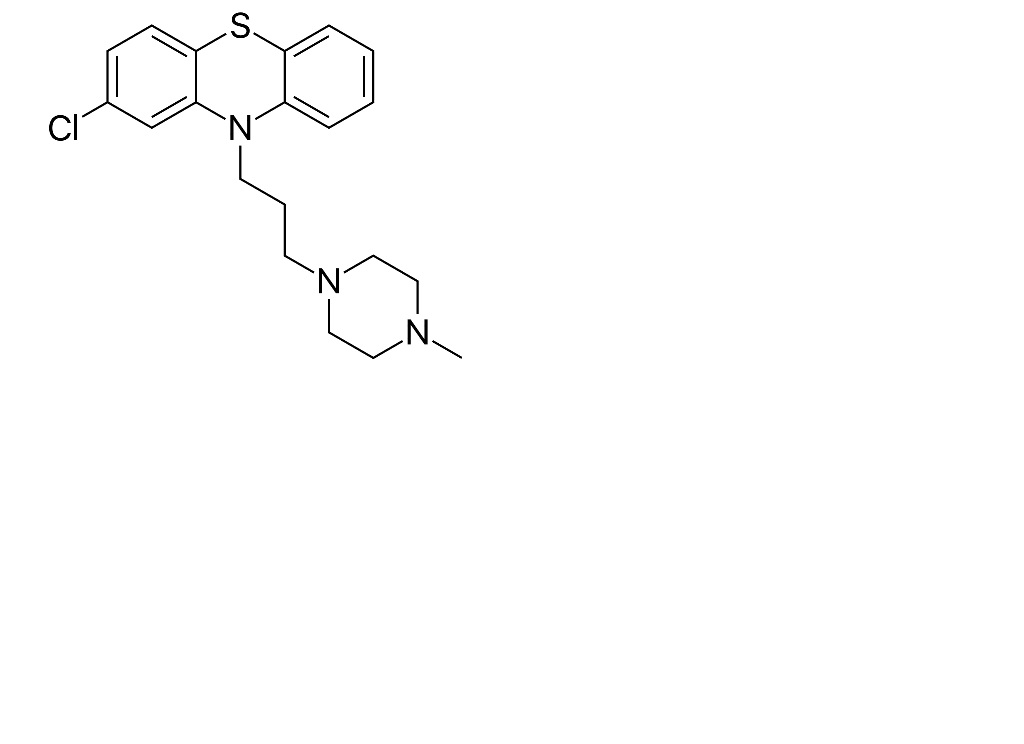
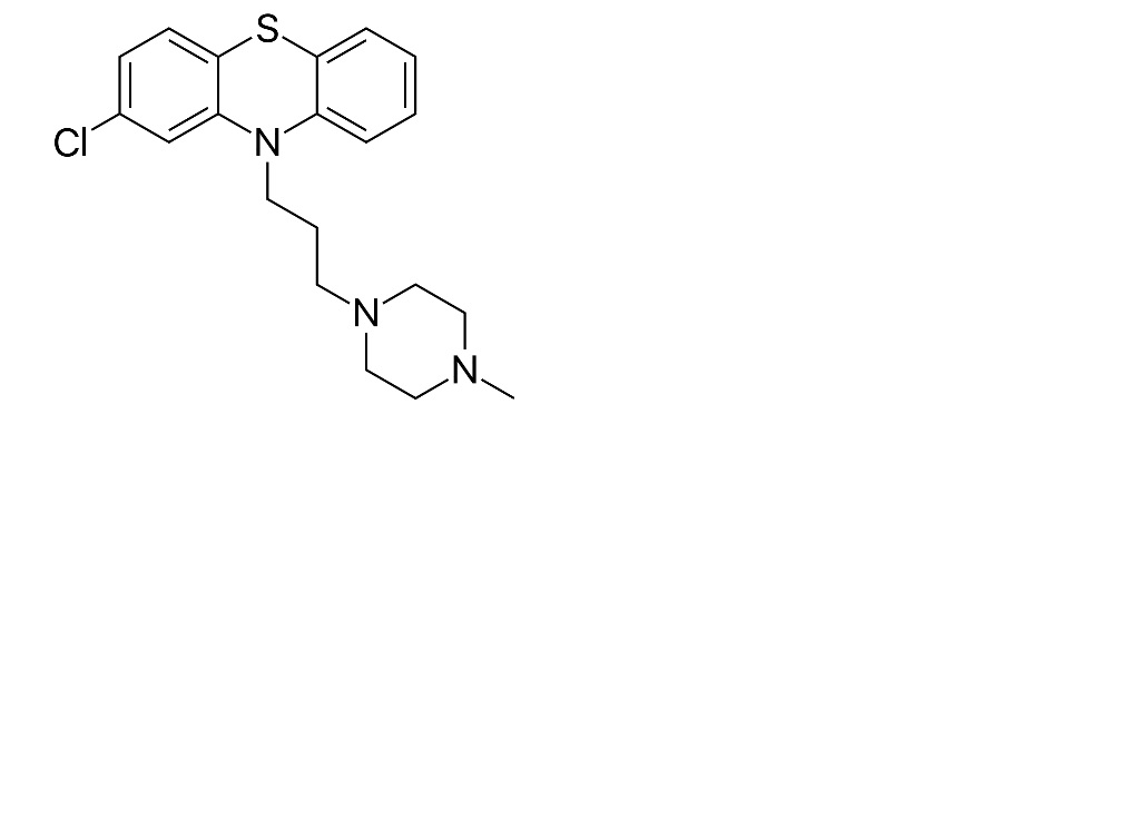
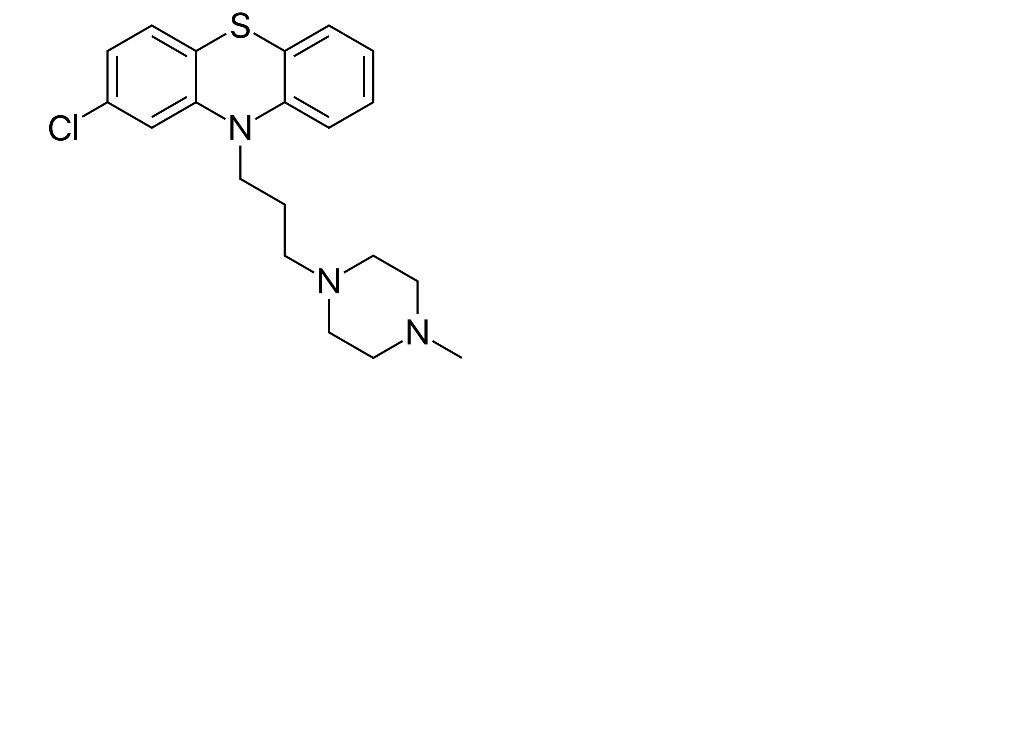
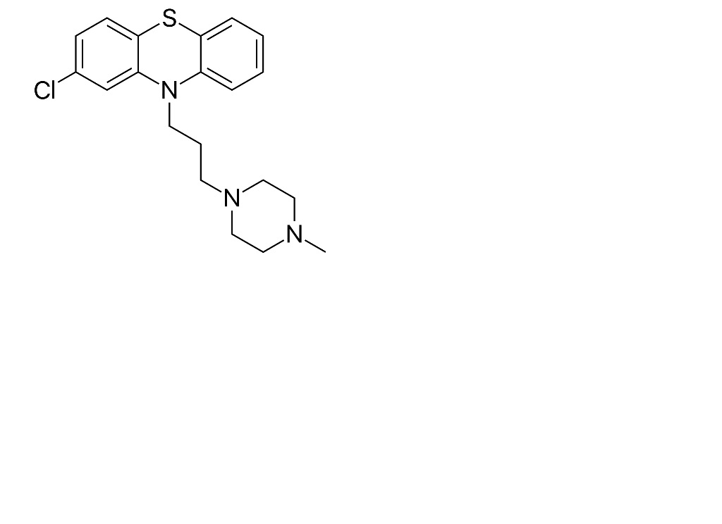
   Molecuulstructuur  

neusdruppels

Factoren die de stabiliteit beïnvloeden   neusdruppels   Factoren die de stabiliteit beïnvloeden : Prochlorperazine edysilate        
geen gegevens

  Mentions Légales