Ostatnia aktualizacja :
27/11/2025
środek przeciwwymiotny   Prochlorperazine edysilate  
Krople do nosa
Injekcje
Stabilność preparatów farmaceutycznych Trwałość w mieszaninie Czynnik wpływający na trwałość Zgodność Bibliografia pdf
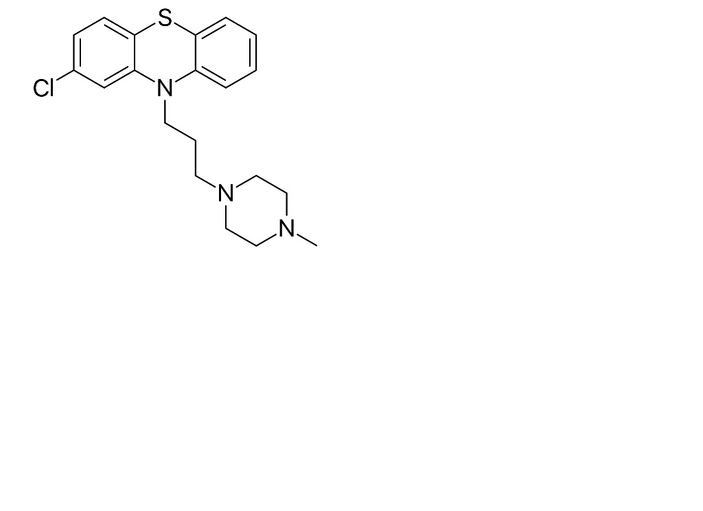
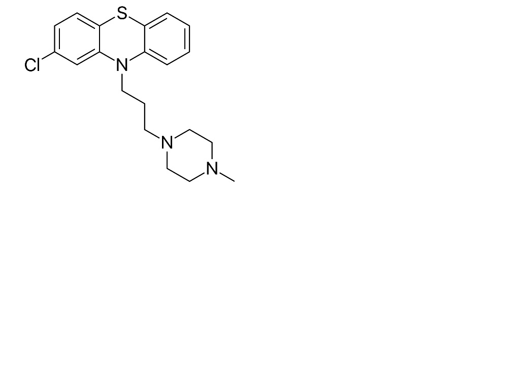
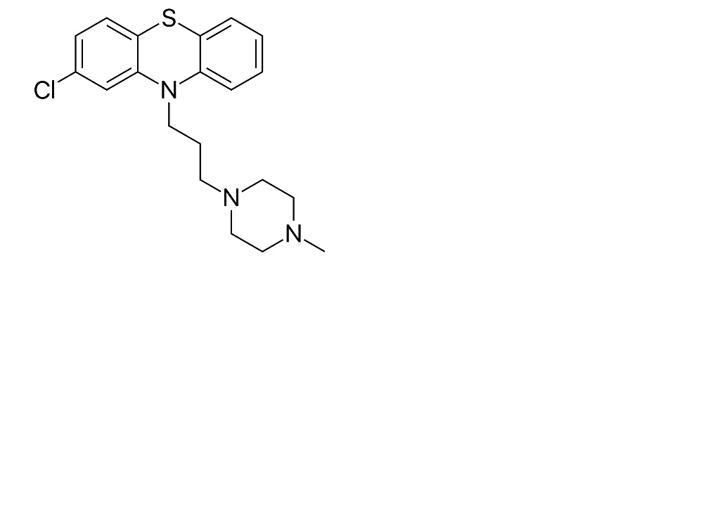
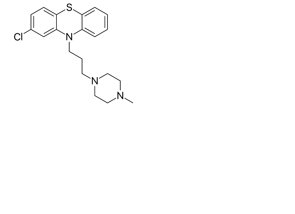
   Struktura chemiczna  

Krople do nosa

Czynnik wpływający na trwałość   Krople do nosa   Czynnik wpływający na trwałość : Prochlorperazine edysilate        
Brak danych

  Mentions Légales