Última actualização :
27/11/2025
Antiemético   Prochlorperazine edysilate  
solução nasal
injetável
Estabilidade de preparações farmacêuticas Estabilidade em misturas Factores que afectam a sua estabilidade Compatibilidade Bibliografía pdf
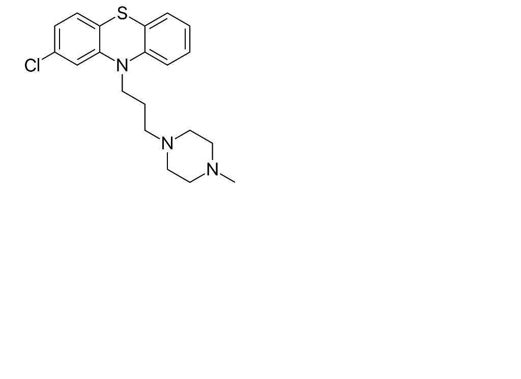
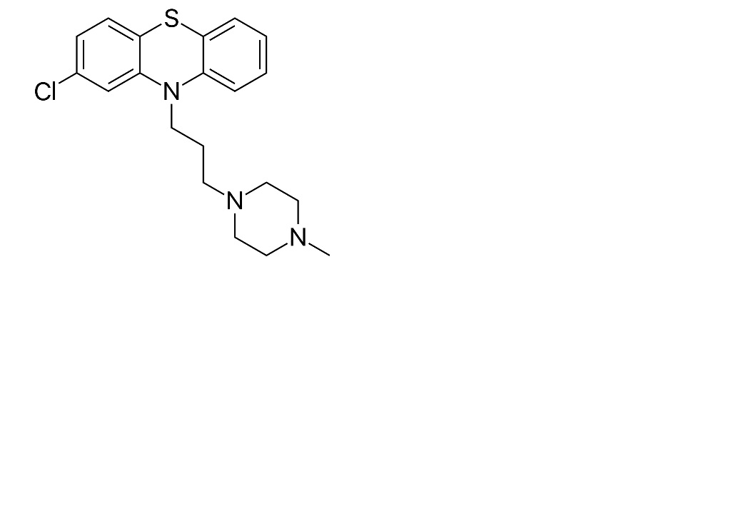
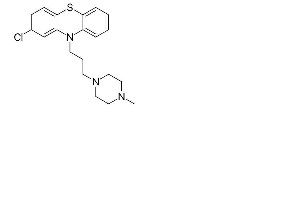
   estrutura química  

solução nasal

Factores que afectam a sua estabilidade   solução nasal   Factores que afectam a sua estabilidade : Prochlorperazine edysilate        
Ausência de dados

  Mentions Légales