viimane versioon :
27/11/2025
antiemeetikum   Prochlorperazine edysilate  
ninatilgad
Süsteravim
Stabiilsust ravimpreparaadid Stabiilsust mõjutavad tegurid stabiilsust mõjutavad faktorid Sobimatus Viited pdf
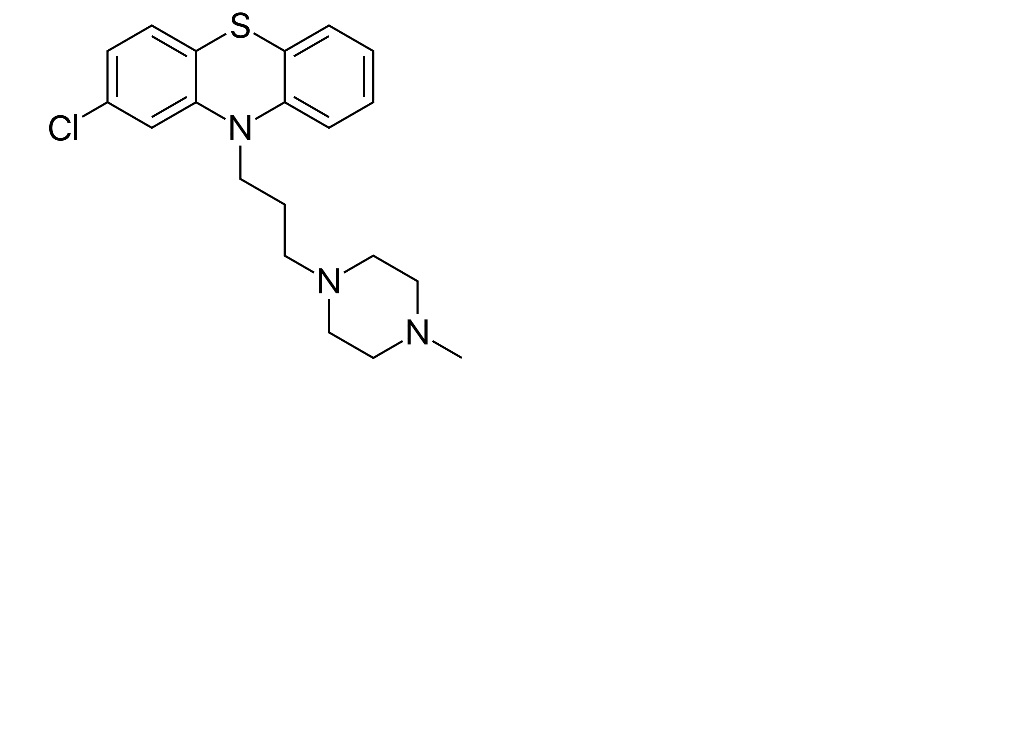
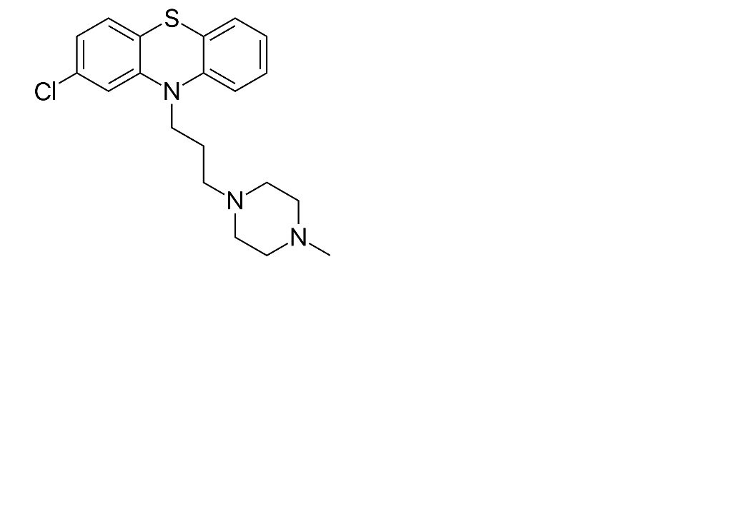
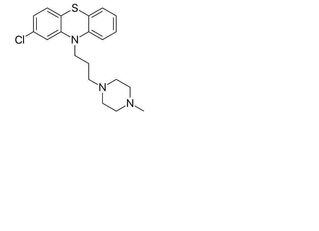
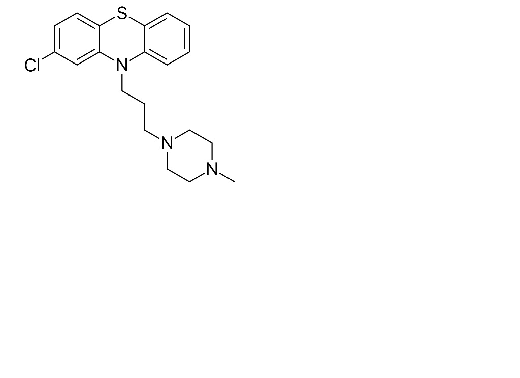
   keemiline struktuur  

ninatilgad

stabiilsust mõjutavad faktorid   ninatilgad   stabiilsust mõjutavad faktorid : Prochlorperazine edysilate        
andmed puuduvad

  Mentions Légales