Senaste uppdateringen :
27/11/2025
Antiemetikum   Prochlorperazine edysilate  
Näsdroppar
injektion
Stabilitet av läkemedel Stabilitet i blandningar Faktorer som påverkar stabiliteten Kompatibilitet Hänvisningar pdf
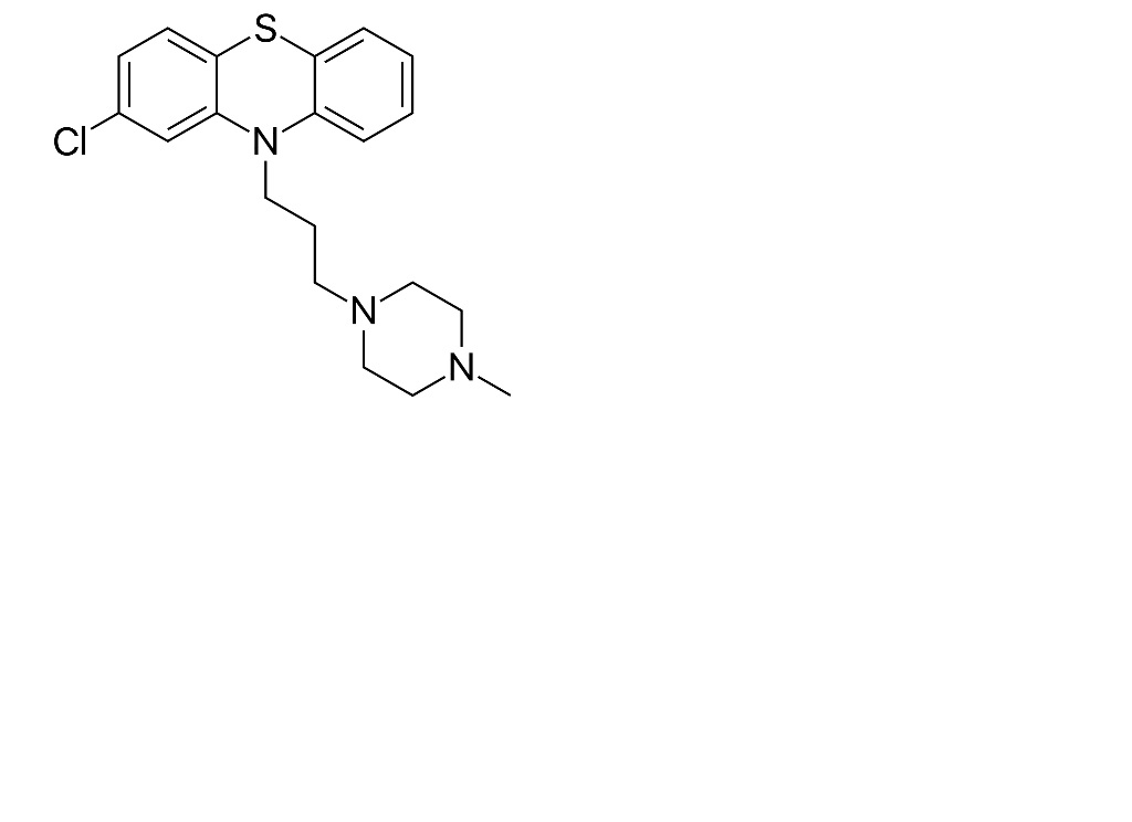
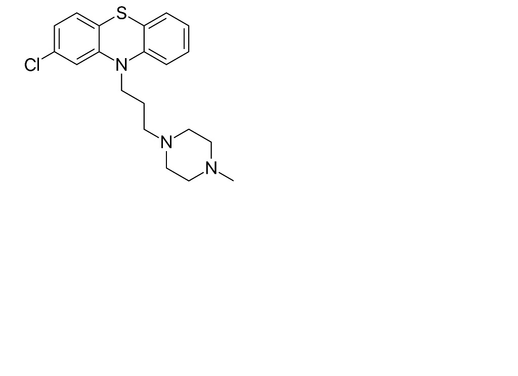
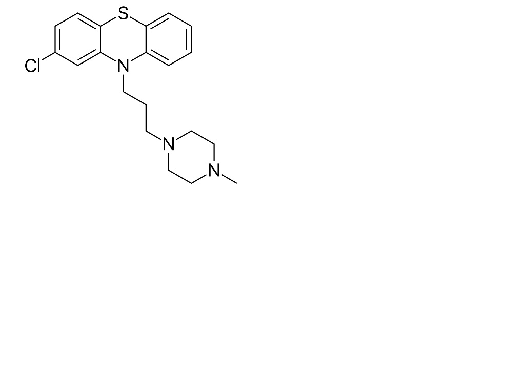
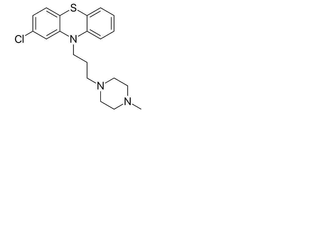
   Molekylstruktur  

Näsdroppar

Faktorer som påverkar stabiliteten   Näsdroppar   Faktorer som påverkar stabiliteten : Prochlorperazine edysilate        
Ingen uppgift

  Mentions Légales