zadnja posodobitev :
18/03/2026
Različen   Baclofen  
Mazila
Brizgalka Peroralna raztopina
Stabilnost farmacevtskih preparatov Stabilnost mešanice Faktorji, ki vplivajo na stabilnost Kompatibilnost Viri pdf
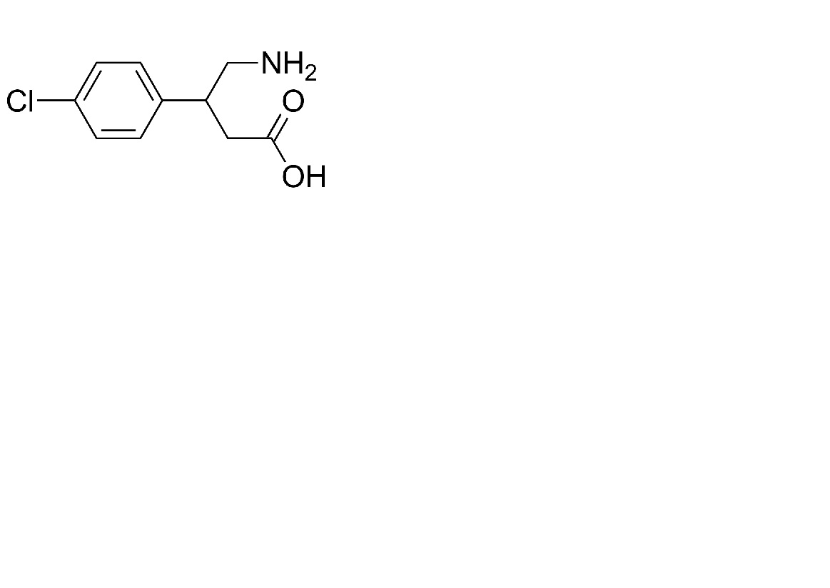
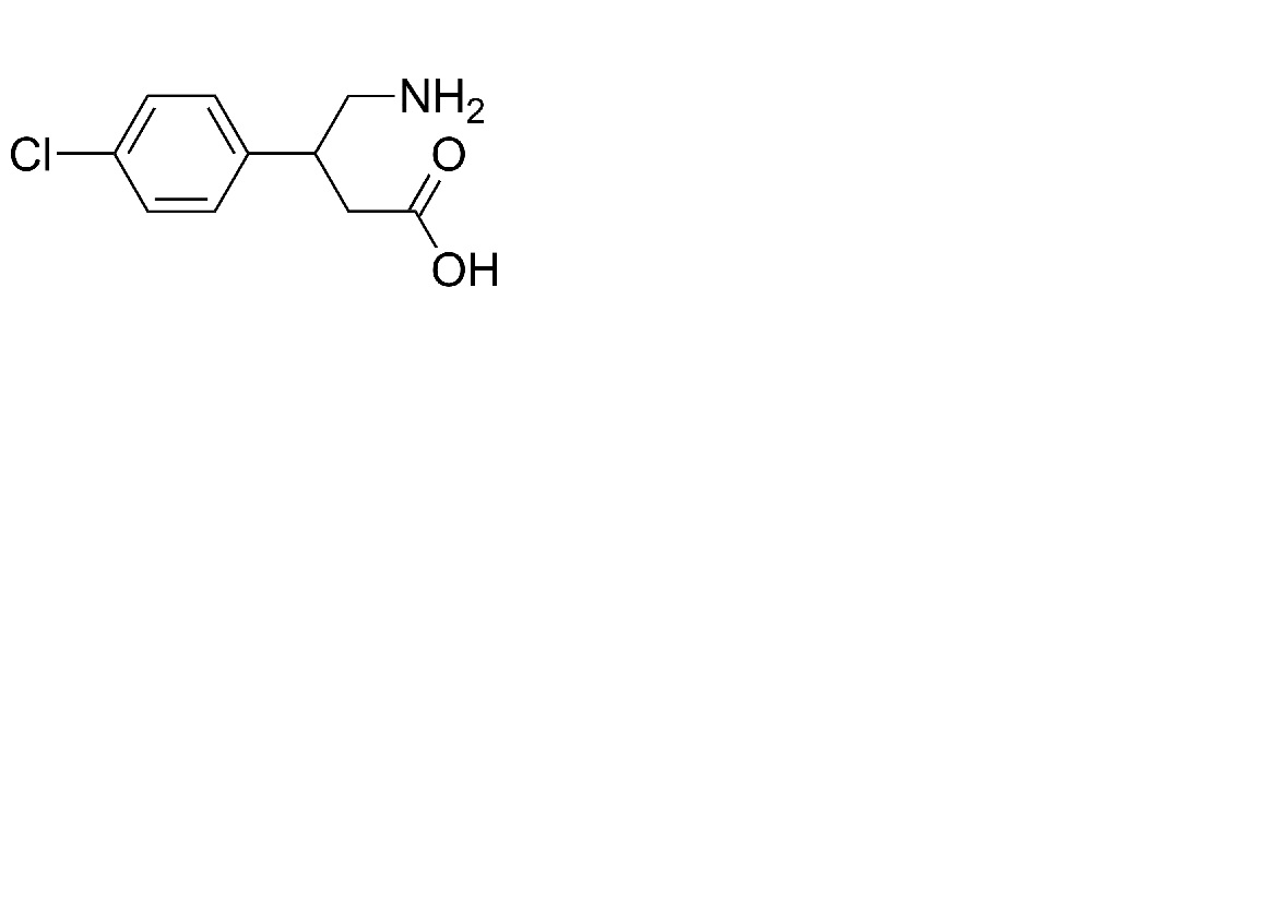
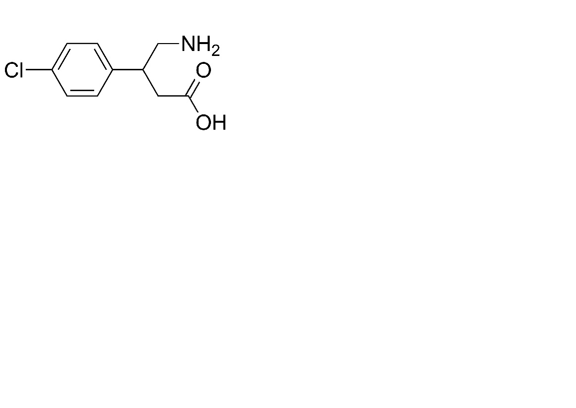
   Kemična formula  

Mazila
Kompatibilnost   Mazila   Kompatibilnost : Baclofen              
ni podatka

  Mentions Légales