Dernière mise à jour :
17/12/2025
Divers   Baclofen  
Forme dermique
injectable Solution buvable
Stabilité des préparations Stabilité en mélange Facteur influençant la stabilité Compatibilités Bibliographie pdf
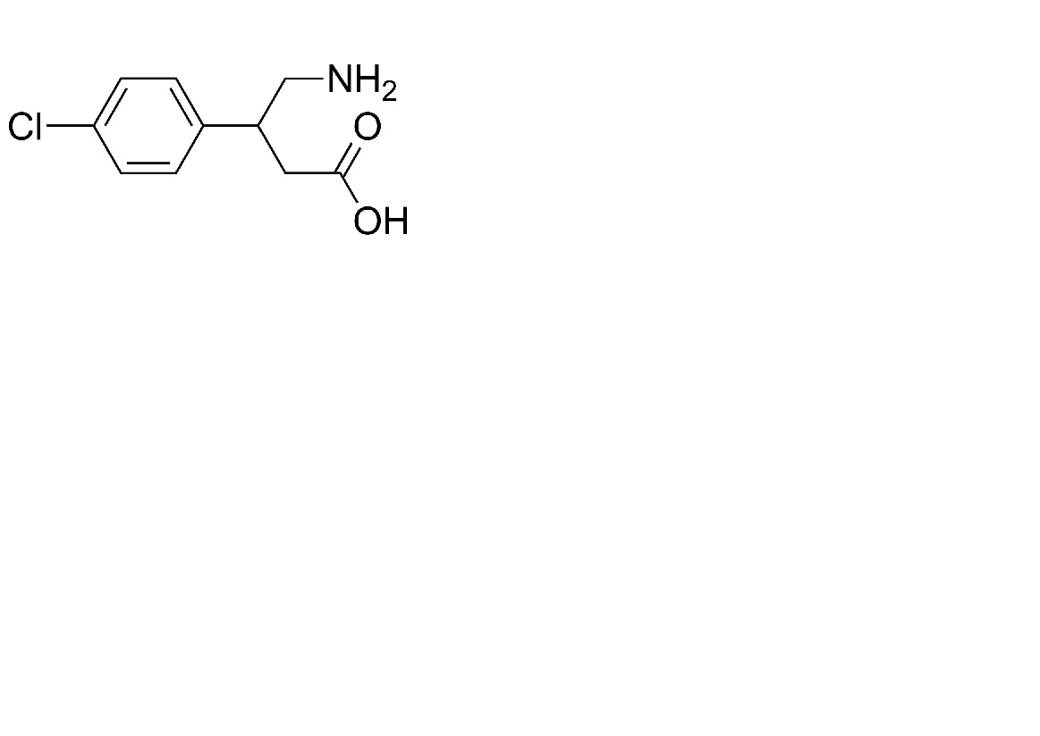
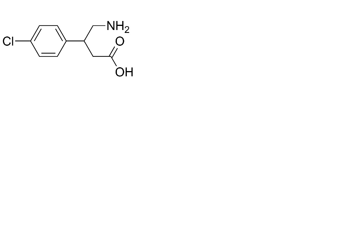
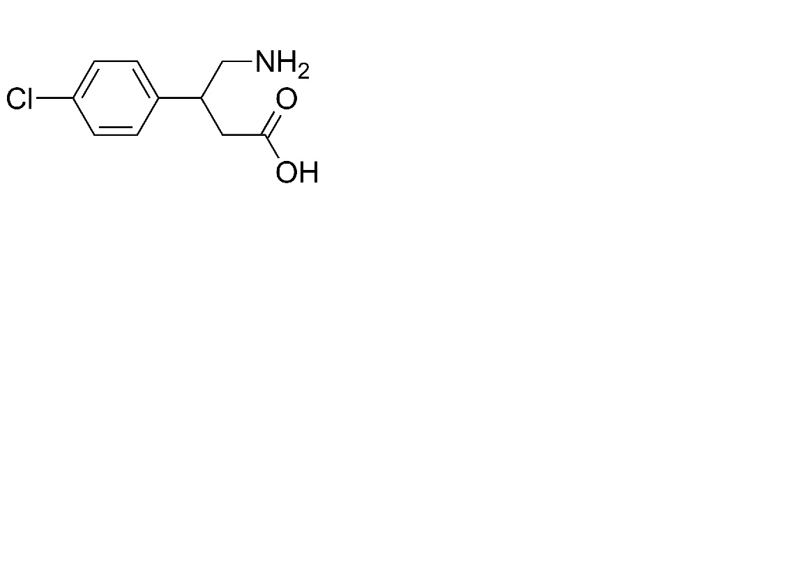
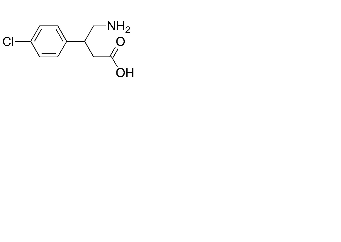
   Structure chimique  

Forme dermique
Stabilité en mélange   Forme dermique   Stabilité en mélange : Baclofen     
Contenant Excipient Molécule Température Conservation Durée de stabilité Bibliographie
Non précisé
propylène Glycol
Lipoderm® >> 100 g
Forme dermique   Baclofen Poudre5 g  ® = ?
Forme dermique   Ketoprofene Poudre5 g  ® = ?
25°C
120 Jour
A l’abri de la lumière 3971
Non précisé
propylène Glycol >>
Lipobase® >> 100 g
Forme dermique   Baclofen Poudre5 g  ® = ?
Forme dermique   Ketoprofene Poudre5 g  ® = ?
25°C
120 Jour
A l’abri de la lumière 3971

  Mentions Légales