Ultimo aggiornamento :
18/03/2026
Altro   Baclofen  
Unguenti
Iniezione Soluzione orale
Stabilità dei preparati farmaceutici Stabilità in miscela Fattori che influenzano la stabilità Compatibilità Bibliografia pdf
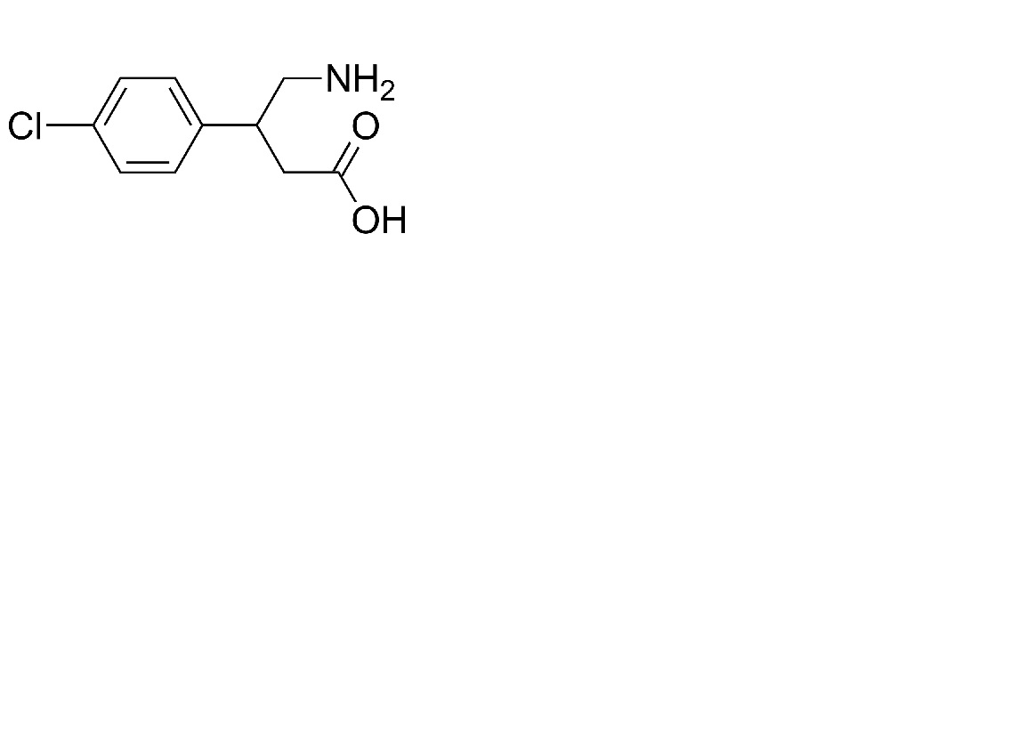
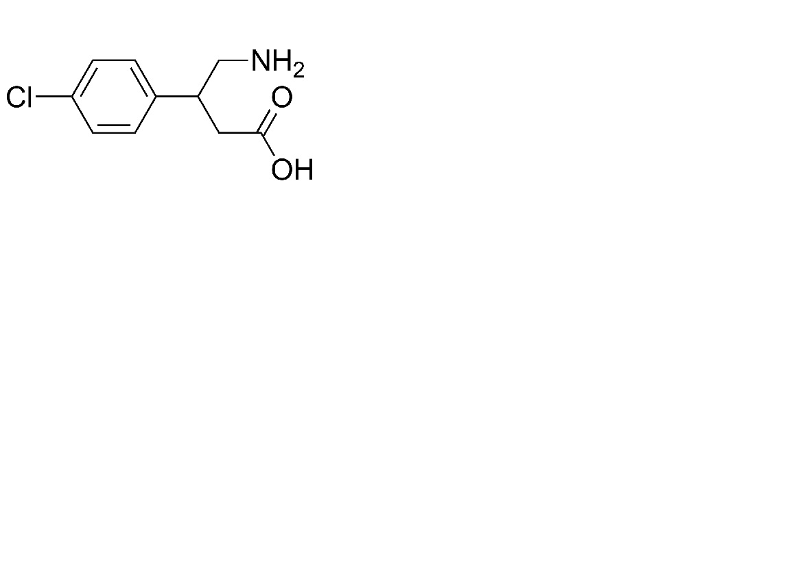
   Struttura chimica  

Unguenti
Compatibilità   Unguenti   Compatibilità : Baclofen              
Assenza di dati

  Mentions Légales