Letztes “update” :
18/03/2026
Verschiedenes   Baclofen  
Salben
Injektion Lösung zum Einnehmen
Stabilität von pharmazeutischen Präparaten Gemengestabilität Stabilitätbeeinflussende Faktoren Kompatibilitäten Literaturverzeichnis pdf
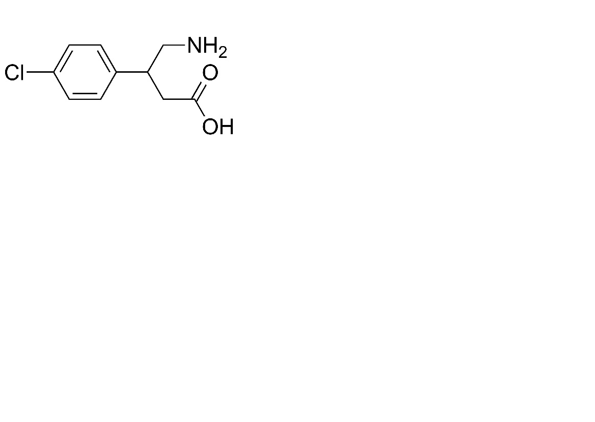
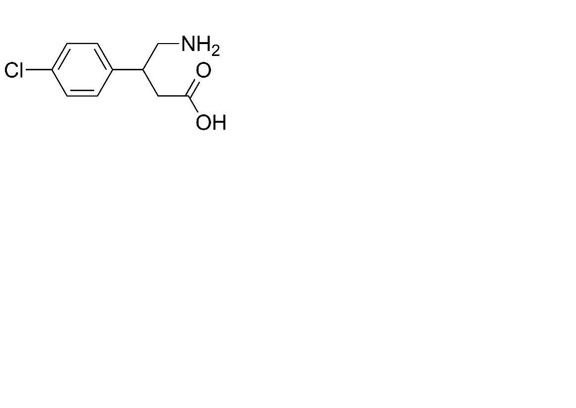
   Chemische Struktur  

Salben
Kompatibilitäten   Salben   Kompatibilitäten : Baclofen              
Keine Daten

  Mentions Légales