Ultimele actualizari :
18/03/2026
Diverse   Baclofen  
Unguente
Injectabil Soluţie orală
Stabilitatea preparatelor farmaceutice Stabilitatea in amestec Factorii care influenteaza stabilitatea Compatibilitate Bibliografie pdf
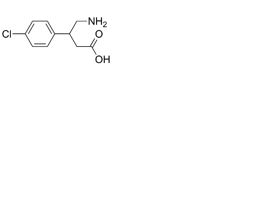
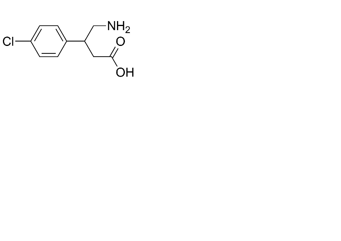
   Formula chimica  

Unguente
Compatibilitate   Unguente   Compatibilitate : Baclofen              
Absenta de date

  Mentions Légales