Laatste update :
18/03/2026
Diverse   Baclofen  
zalf
injecteerbaar geneesmiddel Orale Oplossing
Stabiliteit van farmaceutische preparaten Stabiliteit in mengsels Factoren die de stabiliteit beïnvloeden Verenigbaarheden Literatuur pdf
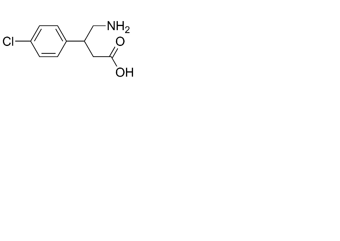
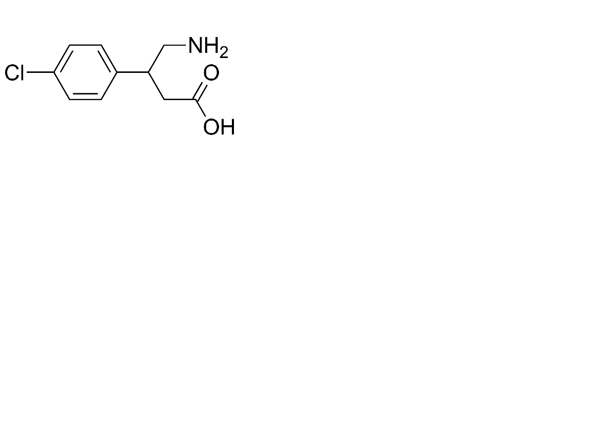
   Molecuulstructuur  

zalf
Verenigbaarheden   zalf   Verenigbaarheden : Baclofen              
geen gegevens

  Mentions Légales