Last update :
18/03/2026
Various   Baclofen  
Ointments
injection Oral solution
Stability of pharmaceutical preparations Stability of mixtures Factors which affect stability Compatibility References pdf
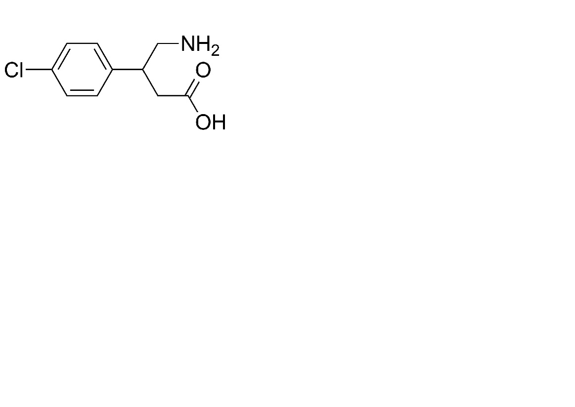
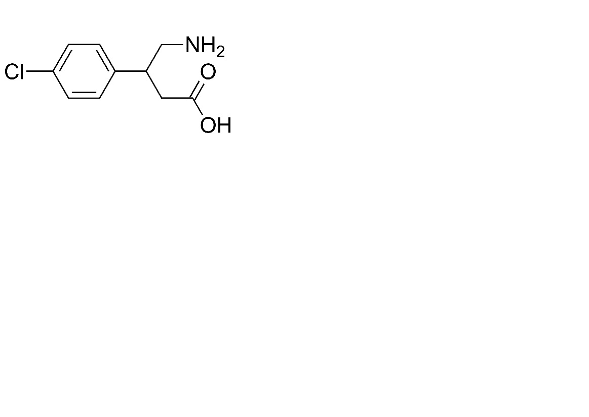
   Chemical structure  

Ointments
Compatibility   Ointments   Compatibility : Baclofen              
No data

  Mentions Légales