Последнее обновление :
17/12/2025
Разное   Baclofen  
Мази
Инъекция Раствор для перорального приёма
Стабильность фармацевтических препаратов Стабильность смесей Факторы, которые влияют на стабильность Совместимость Библиография pdf
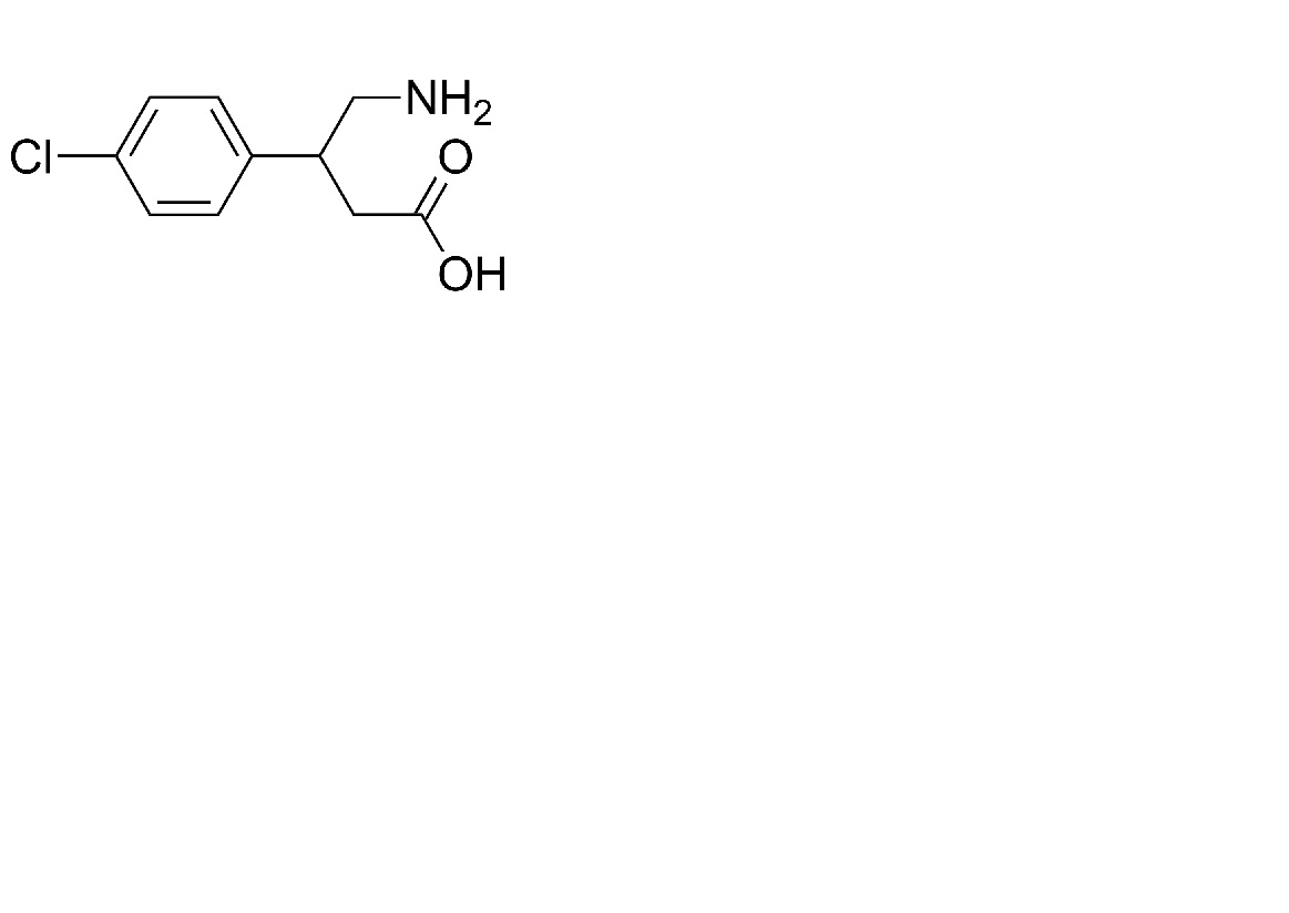
   Химическая структура  

Мази
Стабильность фармацевтических препаратов   Мази   Стабильность фармацевтических препаратов : Baclofen     
данных нет

  Mentions Légales