Pēdējā atjaunošana :
18/03/2026
Dažādi   Baclofen  
Ziedes
Injekcija Orāls šķīdums
Stabilitāte farmaceitisko preparātu Maisījuma stabilitāte Stabilitāti ietekmējoši faktori Saderība Literatūras saraksts pdf
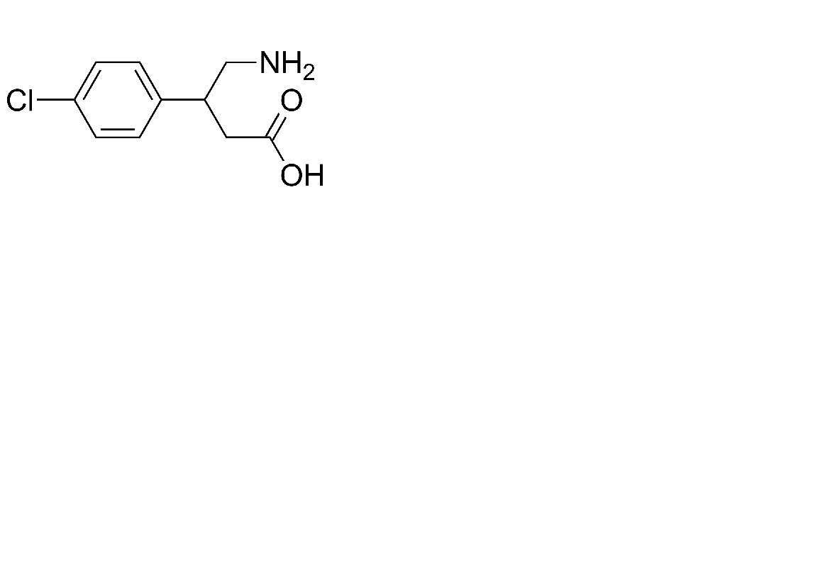
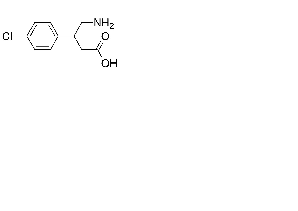
   Ķīmiskā uzbūve   

Ziedes
Saderība   Ziedes   Saderība : Baclofen              
Nav datu

  Mentions Légales