Siste oppdatering :
18/03/2026
Forskjellig   Baclofen  
Salver
Injeksjon Mikstur
Stabilitet av farmasøytiske preparater Stabilitet i blandinger Faktorer som påvirker stabiliteten Kompatibilitet Referanser pdf
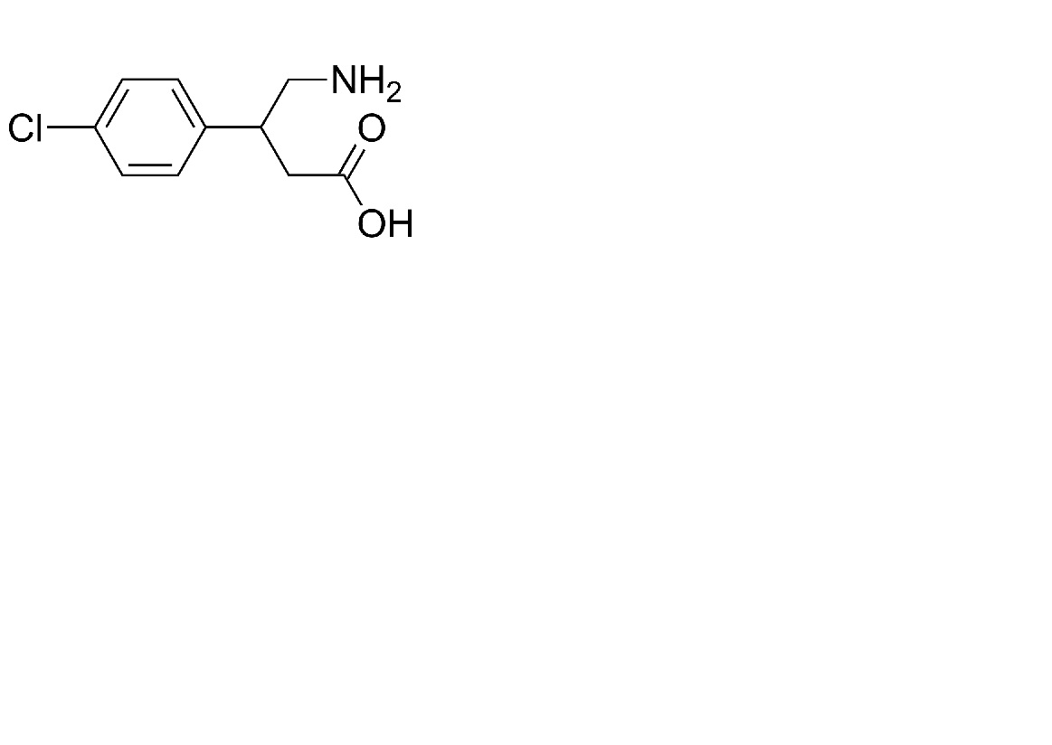
   Kjemisk struktur  

Salver
Kompatibilitet   Salver   Kompatibilitet : Baclofen              
Ingen opplysninger

  Mentions Légales